|
索拉力振动检测的最新方法 |
|
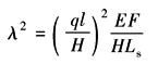
近年来有限元法得到了广泛应用,将整根缆索用分段的铰接直杆离散,缆索的自重作用在节点上,杆的轴向刚度考虑了重力刚度 对于斜拉桥拉索的建模,现在大致有三种方法 1)等效弹性模量法。在斜拉桥拉索建模中,用具有等效弹性模量的直杆代替实际的曲线索。此模型仅适用于初步静力设计,不宜用于动力分析 2)多段直杆法 3)曲线索单元法 这些方法过于专门化不于介绍,读者有兴趣可以找有关的书籍和论文。下面介绍我国在这方面的研究成果之一 考虑索的垂度和弹性伸长λ
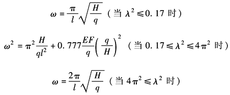
式中 Ls——索线的弧长; H——索平行于弦的拉力; F——索的截面积; 其他参数同前 根据研究分析,考虑索的垂度、弹性的影响等因素,索的拉力与索的基频的实用关系可以采用以下的公式计算,其计算误差都保证在1%以内:
或由上式算得:
索的抗弯刚度的影响较小,从略 频差法 振动在某个较高的阶数之后,频差将趋于稳定,为一常数,而且是弦理论的基频。令该稳定的频差为Δω,则
即 如测得索的高阶频差,索力就可方便地确定,而不必考虑是否有垂度的影响 拉索基频识别工具箱 拉索基频识别工具箱GUI,用于福建闽江斜拉桥的检测。原理是当索力一定时,高阶频率是基频的数倍,表现在功率谱上是出现一系列等间距的峰值。峰值的间距就是基频。拾取这一系列峰值,求相邻峰值间距的平均数,即为基频,这是功率谱频差法。由于环境振动测试得到的功率谱结果不够理想,还采用倒频谱分析作为功率谱峰值法的补充。所以该工具箱可绘制自功率谱和倒频谱,各种参数可随时调整。可用鼠标精确捕捉峰值(频谱值),并自动计算差值。亦即所要识别的基频 鉴于架空索道承载索跨度大,测量基频就能达到目的 |




