|
高屏溪桥斜张钢缆检测部分简介 |
|
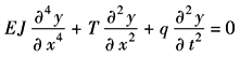
高屏溪河川桥主桥系采单桥塔非对称复合式斜张桥设计。桥长510m,主跨330m为全焊接箱型钢梁,侧跨180m则为双箱室预力混凝土箱型梁。两侧单面混合扇形斜张钢缆系统分别锚碇于塔柱及箱梁中央处。钢筋混凝土桥塔高183.5m,采用造型雄伟且结构稳定性高的倒Y形设计 斜张钢缆承受风力时,其反复振动将可能引起钢绞索产生疲劳现象或在支承处产生裂缝破坏,将降低其耐久性与安全性。钢缆的风力效应主要包括有涡流振动、尾流驰振及风雨诱发振动等。当涡漩振动的频率与结构体的固有频率或扭转频率近似或相等时,便会产生共振现象,此时结构体会有较大的位移振动。经计算斜张钢缆的固有频率即可推得发生涡流振动时的临界风速,一般而言,临界风速多发生在第一模态,且此时具有最大的振幅。在分析高屏溪桥自编号F101最长钢缆及至编号F114最短钢缆时,发现其固有频率为第一模态时,仅有编号B114钢缆在风速1.5m/s时会发生共振现象。但由于此时风速极低,几乎无法扰动钢缆。因此,于斜张钢缆上装设一速度测震计,当钢缆受自然力扰动而产生激振反应时,速度计可将此振动传送到FFT分析器,经由快速傅里叶转换解析,判定振动波形内稳态反应的振动频率后,再透过计算式即可求得钢缆的受力,亦即钢缆索力大小 考虑斜张钢缆刚度(含外套管刚度),使用轴向拉力梁理论,当受弯曲梁含轴向拉力时的自由振动运动方程式为:
式中 T——轴向拉力; q——单位长度质量; δ——中垂度与钢缆长度之比; L——钢缆长度; θ——钢缆的倾斜角; J——截面惯性矩 令
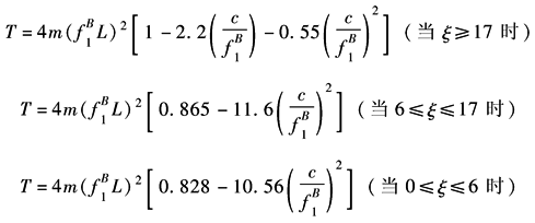
1)钢缆具较小垂度时,即Г≥3,则适用于下列力与第一振动频率关系式(这里已代入钢丝绳的具体数据,且考虑到阻尼,求得):
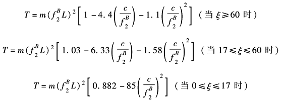
2)钢缆具较大垂度时,即Г≤3,则适用于下列力与第二振动频率关系式:
3)钢缆长度较长时,适用于下列力与频率关系式:
式中 此桥斜张钢缆对涡漩振动不甚敏感。此外,由于钢缆涡流振动、尾流驰振及风雨诱发振动等风力因素相当复杂,若仅欲以数值分析探讨其行为模式似嫌粗糙且不可靠,因此钢缆风力现象仍主要以经验法则配合钢缆频率与阻尼量测值进行综合研判,且研判时机通常选择设定于施工期间与完工后较佳 由于斜张钢缆在长期预拉力、风力、地震力及车行动载荷下,将随时间变化产生应力松弛现象,造成斜张桥整体结构系统应力的重新分配,如此将影响桥梁的结构静力及动力特性。综观国内外相关施工经验得知,监测系统在斜张桥完工后均规划有定期检测钢缆实存索力的作业,以检核结构系统的稳定性。该桥在检核斜张钢缆受力情形或预力变化时,采用自然振动频率法进行量测 一般而言,通常选择较不受乱流干扰的第二振动频率,即可经式(1)求得钢缆拉力T,亦即钢缆的索力值 检测结果如下 1)本桥在斜张钢缆进行预力施拉作业时,配合液压泵实际输出压力读数对照式(1)计算所得钢缆索力值时,发现两者相当接近; 2)本工程于钢缆施拉预力作业时,亦随机挑选某一钢绞索装设单枪测力器检核钢缆的实际索力; 3)另外于主跨钢缆锚碇承压板内侧及侧跨钢缆锚碇螺母处装设有钢缆应变计,亦可同时量测钢缆索力的变化情况 经由相互比较结果发现,液压泵实际输出压力读数、单枪测力器测量值、钢缆应变计读数以及固有振动频率计算值等,彼此间数值差异并不大。因此推论日后桥梁维护计划中有关钢缆索力变化检核作业应可藉由固有频率振动法及钢缆应变计进行综合监测 下面介绍钢缆振动试验(动静态服务载重试验) 基于阻尼值为判断钢缆抗风稳定性的关键因素,为求得较正确的阻尼值,本工程亦即进行强制振动借以求得较合理的振幅 该工程钢缆强制振动试验系利用大型吊车以绳索拖拉的方式提供钢缆初始变位值,并利用角材提供临时支撑,再以卡车迅速将角材拖离,让钢缆产生激振反应,并逐渐衰减至停止。试验主要以主跨外侧钢缆为对象,共计七根钢缆,每根钢缆进行二次试验 按主跨最外侧五根钢缆强制振动试验计算资料,其值显示所有钢缆的对数阻尼衰减值均大于5%,参考前述相关的稳定度判读原则,则可推估所有钢缆均具有相当高的抗风稳定度,此一结果与现场观测结果相当接近 经由长时间的观测结果初判该桥钢缆系统抗风稳定性相当高。虽然强风期间外侧较长钢缆产生振动现象,但振动行为相当稳定,且振幅不大,对于钢缆服务寿命并无任何影响。但考虑钢缆风力行为不确定因素繁多,故仍规划在桥梁通车后持续进行观测。若发现钢缆产生不稳定振动,则建议于钢缆锚碇处附近安装黏性剪力型阻尼器,以提供抗风所需的额外阻尼量 |







