|
两端受拉梁的振动测量原理 |
|
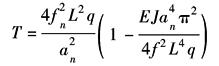
把钢丝绳当作一根两端固定并承受拉力的梁,测量其振动频率来计算实际拉力也是一个有效的方法 从表各种构件的固有角频率序号11中可以查到,两端固定并承受拉力的梁的固有振动频率为:
式中 E——梁的弹性模量 令P=T;ρl=q;ω=2πfn代入,整理后可得:
高屏溪桥斜张钢缆的检测基本采用这个原理 |
|
两端受拉梁的振动测量原理 |
|
把钢丝绳当作一根两端固定并承受拉力的梁,测量其振动频率来计算实际拉力也是一个有效的方法 从表各种构件的固有角频率序号11中可以查到,两端固定并承受拉力的梁的固有振动频率为:
式中 E——梁的弹性模量 令P=T;ρl=q;ω=2πfn代入,整理后可得:
高屏溪桥斜张钢缆的检测基本采用这个原理 |