|
弹性连杆式振动机动力参数设计示例 |
|
如表主振系统的动力平衡中图1所示的平衡式弹性连杆式振动输送机,经过初步设计之后,确定上槽体质量m1=1838kg,下槽体质量m2=2150kg,两槽体中的平均物料量均为mm=1600kg,底架质量m3=6130kg,该输送机振动方向角δ=30°,水平布置,转速n=600r/min(ω=62.8rad/s),振动槽体的振幅A1=-A2=7mm。试设计其动力学参数 (1)隔振弹簧刚度(按表主振系统的动力参数) 选取隔振频率比Z0=3,则
(2)诱导质量 由于 0.25,所以
空载诱导质量(表主振系统的动力平衡中表):
有载诱导质量(表主振系统的动力平衡中表):
(3)主振弹簧刚度(表主振系统的动力参数)
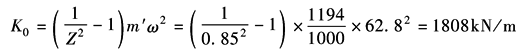
(4)连杆弹簧刚度(表主振系统的动力参数) 取Z=0.85,则
(5)相对振幅和相位差角 根据表主振系统的动力平衡中表平衡式振动输送机振幅关系可求得:
当阻尼比取ζ=0.07时,相位差角(表主振系统的动力参数)
(6)曲柄半径(表激振器动力参数设计)
(7)名义激振力(表激振器动力参数设计)
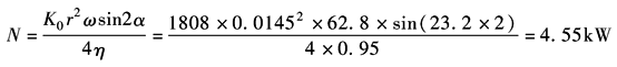
(8)所需功率(表激振器动力参数设计) 最大启动力矩:
按启动力矩计算电机功率:取η=0.95,Kc=1.3
正常工作时的电机功率:
选用Y160M-6型电动机,功率为7.5kW,转速n=970r/min (9)传给基础的动载荷 底架m3的振幅按下式近似计算:
当隔振弹簧按照∑K3=4434kN/m设计时,隔振弹簧沿y方向和x方向的刚度分别为∑Ky=4434kN/m,∑Kx=2306kN/m 沿y方向传给基础的动载荷:
沿x方向传给基础的动载荷:
|












