|
惯性共振式振动机动力参数设计示例 |
|
某非线性振动共振筛,力学模型如表主振系统的动力参数中图b所示,但机体与水平成5°倾角安装(图中右端低),主振弹簧K采用表间隙非线性弹簧设计中图形式,其筛体质量m1=835kg,振动方向角δ=45°,转速n=800r/min,振幅B1=6.5mm,机体内的平均物料量mm=750kg,试进行其动力参数设计 (1)预估参振质量 振动机械设计中的主要困难就是未知量太多,首先遇到的问题是参振质量,甚至m1、m2全未知,mm可从运动学参数设计中确定。m1可根据机体尺寸、振动参数、结构强度预估为m1=835kg,m2受到主振弹簧允许变形量的限制,预估m2/m1=0.7,m2=0.7m1=0.7×835=584.5kg (2)隔振弹簧刚度 选取隔振弹簧K1(表主振系统的动力参数中图b中的K11、K12)的频率比Z0=3.2。以下按表主振系统的动力参数中表计算 激振角频率
隔振弹簧采用四角均匀布置,每角2只弹簧,一只弹簧的刚度为:
(3)诱导质量 由于 筛体的折算质量:
诱导质量:
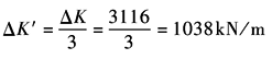
(4)主振弹簧刚度 选取频率比Z=0.9,则
如果主振弹簧为分段线性弹簧,选取 振动输送类振动机整体刚度和局部刚度的计算中图),则硬弹簧刚度按表间隙非线性弹簧设计中式计算:
当硬弹簧采用3只并联弹簧时,则1只弹簧刚度
(5)相位差角 选取阻尼比ζ=0.05,则
(6)相对振幅 由于已知B1,查表主振系统的动力参数,
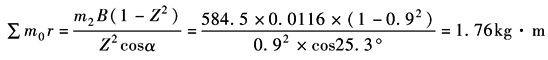
(7)偏心质量矩
(8)激振力幅
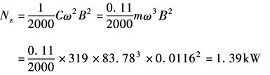
(9)电机功率 振动阻尼所消耗的功率:
轴承摩擦所消耗的功率取:Nf=0.8Nz 总功率: 选用一台3kW的电机 (10)传给基础的动载荷
振动机械的设计过程大致可分为这样几个阶段。首先在预估参振质量m1的条件下,协调好m1、m2、主振弹簧K、绝对振幅B1、相对振幅B之间的关系,然后进行主振弹簧、隔振弹簧设计,激振器设计,初步设计告一段落。设计的第二阶段为绘制设计草图,计算出参振机体的质量m1,转动惯量I1、质心位置O1,第二阶段主要是结构设计阶段。第三阶段为精确设计计算阶段,这一阶段,根据精确质量m1、I1协调各动力参数关系,再重新校核各零件的设计参数,最终设计参数被确定 |













