|
振动输送类振动机整体刚度和局部刚度的计算 |
|||||||
|
槽体的刚度计算是一项重要的工作。计算槽体的刚度,实际上是计算槽体横向振动的固有角频率。槽体横向振动固有角频率与工作频率一致时,就会使槽体的弯曲振动显著增大。更严重的是,当出现较大弯曲振动时,会使它的振幅和振动方向角发生明显变化;在槽体不同位置上物料平均输送速度有显著差异;某些部位物料急剧跳动,物料快速向前运动;另一些部位,物料仅轻微滑动,有时甚至会出现反方向运动,使机器难以正常工作。因此,在设计与调试时,必须避免槽体各阶弯曲振动的固有角频率与工作频率相接近 各段槽体固有角频率按表1公式计算。通过对各段槽体固有角频率的计算,可以确定较为合理的支承点间距l。支承点间距越小,固有角频率越高。因此,支承点间距要根据振动输送机工作频率高低及机器大小在2.5m的范围内进行选择。工作频率越高,支承点间距l越小;机器越小,即断面惯性矩Ja也越小,支承点间距l也应越小。通常振动强度K=4~6及小型机器时,l<1m;振动强度K<4及大机器时,l=1~2.5m;当支承点间有集中载荷时,应取较小值 |
|||||||
|
表1 振动输送槽体段的固有角频率 |
|||||||
|
典型模型 |
固有角频率/rad·s-1 |
适用范围 |
|||||
|
|
|
振动输送机导向杆之间的各段槽体 |
|||||
|
|
|
振动输送机两端槽体段,系数a1参见表2 |
|||||
|
|
|
振动输送机安装有传动部或给料口、排料口的槽体段。集中力为相应部分质量的惯性力 |
|||||
|
|
|
振动输送机两端有给料口或排料口槽体段 |
|||||
|
注:Ja—槽体的截面惯性矩,m4;m—集中质量,kg;mc—分布质量,kg/m;l—两支承的距离或悬臂长度,m;l1—外伸端长度,m;a,b—集中质量与两端的距离。 |
|||||||
|
表2 系数a1 |
|||||||
|
l0/l |
1 |
0.75 |
0.5 |
0.33 |
0.2 |
||
|
a1 |
1.5 |
1.9 |
2.5 |
2.9 |
3.1 |
||
|
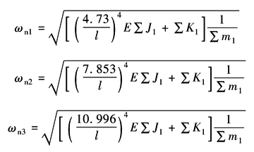
弹簧隔振双质体振动输送机总体出现弹性弯曲振动的固有角频率:
式中 l——输送机长度,m; ∑J1——弯曲振动方向上总截面惯性矩,m4; ∑m1——单位长度上的总质量,kg; ∑K1——槽体单位长度上所安装的隔振弹簧刚度,N/m 各阶固有角频率对应的振型如下图所示
振动输送机的弯曲振动的振型 槽体出现弹性弯曲时,主要的调试方法是改变隔振弹簧刚度和支承点,或增减配重,使工作频率避开固有圆频率 |
|||||||










