|
单轴惯性激振器动力参数(远超共振类) |
||
|
项目 |
计算公式 |
参数选择与说明 |
|
隔振弹簧总刚度 |
物料对隔振弹簧的影响在频率比的选取中考虑 |
m——机体质量,kg;ω——振动频率,rad/s;隔振弹簧与隔振器设计相同,一般隔振器设计取Z=3~5,对于有物料作用的振动机,Z值可取得小些,物料量越多,Z值越小 |
|
等效参振质量 |
|
物料质量mm按式(mm=QL/(3600υm))计算;物料mm的等效参振质量折算系数Km可参照表物料的等效参振质量和等效阻尼系数中表1和表2选取 |
|
等效阻尼系数及相位差角 |
|
|
|
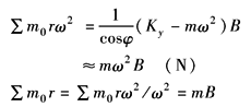
激振力幅值及偏心质量矩 |
|
B——振动的振幅,m m0——偏心块质量,kg r——偏心半径,m 根据∑m0r设计偏心块 |
|
电机功率 |
见表激振力和功率 |
|
|
稳态振幅 |
|
|
|
传给基础的动载荷 |
Fy=KyBy,Fx=KxBx 启动、停止时, F'y=(3~7)Fy,F'x=(3~7)Fx |
Ky,Kx——分别为垂直方向和水平方向的刚度,N/m By,Bx——分别为垂直方向和水平方向的振幅,m 悬挂弹簧时,Fx≈0,F'y≈Fy |



