|
空间运动单轴惯性激振器 |
|
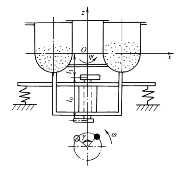
下图所示立式振动光饰机由单轴惯性激振器驱动。激振器的轴垂直安装。轴上下两端的偏心块夹角为γ。因此,激振器产生在水平平面xOy内沿x方向和y方向合成的激振力P(t),以及由绕x轴和绕y轴的激振力矩所合成的激振力矩M(t)分别为:
l0——上下偏心块的垂直距离,m; l1——上偏心块至机体质心距离,m; 其他符号同前
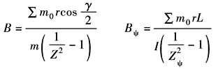
立式振动光饰机力学模型 在忽略阻尼的情况下,机体水平振动稳态振幅B和摇摆振动的幅值Bψ为:
式中 Z,Zψ——频率比,Z=ω/ωn,ω2n=K/m,Zψ=ω/ωnψ,ω2nψ=Kψ/I;频率比Z、Zψ均在3~8的范围内选取; m,I——机体的质量及对x轴和y轴的转动惯量,kg,kg·m2; K,Kψ——水平方向及摇摆方向的刚度,N/m,N·m/rad 为了提高工作效率,要合理选择偏心块夹角γ。试验证明γ=90°时,水平振动和摇摆振动都比较强烈,这种复合振动研磨效果最佳 当机体m、I和工艺要求的振动参数B、Bψ、ω已知,并由隔振设计确定了K、Kψ的条件下,可从式(1)的前式求得∑m0r,再根据后式求得L值。根据Σm0r设计偏心块,根据L值设计l0、l1 |





