|
物料的滑行运动 |
|
若输送槽体作简谐运动,槽体内的物料和槽体的受力情况如下图所示。根据出现滑行运动时的受力平衡条件,可推出物料正向滑动(相对工作面沿x方向前进)的条件为正向滑行指数Dk>1:
而反向滑动的条件是反向滑行指数Dq>1:
槽体运动规律及物料受力分析 式中 α——槽面与水平面夹角; δ——振动方向角,即振动方向线与输送槽面夹角; μ0——静摩擦角,tanμ0=f0; f0——物料与槽面的摩擦因数 按滑行原理工作的振动机械,大多采用Dk>1、Dq<1;对于少数振动机械,如槽式振动冷却机、低速振动筛,采用Dk>1、Dq>1状态工作 对于物料运动轨迹相对于槽面近于直线的振动输送机,即以滑行为主的输送机,在设计计算中,首先根据工作要求、物料情况,选定Dk、Dq、α的具体数值,再进行如下计算 (1)振动方向角δ
式中 (2)振动强度Kjq
(3)选定振幅B后,计算每分钟振动次数n
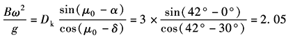
例 用于输送不要求破碎物品的输送机,输送长度20m,物料对工作面的摩擦因数f0=0.9,求其运动系参数 解 因运输易碎物品,不抛掷,选正向滑行指数Dk=3,反向滑行指数Dq≈1。长距离输送,取α=0,μ0=arctan0.9=42° 按式(1)计算:
按式(2)计算振动强度:
按机械结构,取振幅B=5mm=0.005m,得:
|








