|
摆式减振器 |
|||
|
图1表示一种摆式减振器,利用其动力作用可以减扭转系统的扭振。摆式减振器通常采用离心摆的形式,其固有频率与旋转速度成正比。当激振频率也与转速成比例时,则在系统的整个运转速度范围内都有减振作用 装有摆式减振器的旋转系统可以简化为图2所示的力学模型,对于角位移微小的微幅振动的摆的运动微分方程式:
图1 双离心摆式减振器 图2 摆式减振器的力学模型 可求得摆的稳态振幅f 0与主系统振幅θ0的关系式如下:
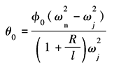
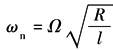
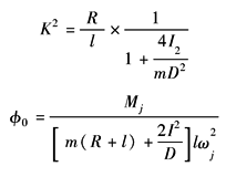
式中 W——系统的工作角速度; ωn——离心摆的固有角频率, 上式令
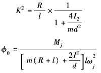
旋转机械发生扭振时,激振力的频率通常为系统工作角速度W的整数倍,即ωj=nW(n=1,2,…),所以适当选择摆的固有频率,使ωn=ωj,则主系统的频率θ0=0,从而达到减振的目的。因此,摆悬挂点至回转中心的距离R与摆长之间应采用如下的关系式:K=n,则对某n次激振达到完全减振的作用 摆式减振器有挂摆式、滚摆式、环摆式等,部分原理、结构和计算见下表 |
|||
|
几种摆式减振器的原理、结构和计算 |
|||
|
类型 |
原理 |
结构 |
计算公式 |
|
滚 摆 式 |
|
|
|
|
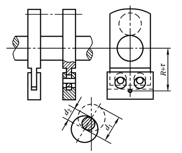
环 摆 式 |
|
|
|
|
注:K—调谐比;f 0—共振时摆的振幅;m—摆的质量,kg;I2—摆的转动惯量,kg·m2;Mj—激振力矩,N·m;ωj—激振角频率,rad/s;d—滚子的外径,m;D—环的外径,m。 |
|||












