|
设计示例 |
|
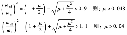
某安装在厂房三楼的机械设备m1=7830kg,系统的固有角频率ωn=93.2rad/s,激振力频率ω=93.2rad/s,激振 力幅值F0=5200N。设计一动力吸振器,要求新共振频率比 (1)确定吸振器的质量
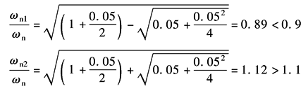
选取质量比μ=0.05,则
所以,吸振器质量
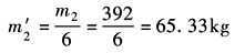
采用下图形式的动力吸振器,将质量均匀分成6块,每块质量
选取每块质量m'2=65kg,总质量m2=390kg
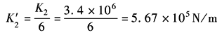
卧式动力吸振器 1—质量;2—板弹簧;3—底座 (2)吸振器弹簧参数确定 吸振器弹簧刚度
吸振弹簧采用6只矩形截面的悬臂梁形式的板弹簧,一只弹簧的刚度
吸振器弹簧的最大相对变形量
为安全起见,选取δmax=0.002m。于是吸振器弹簧可根据K'2和δmax进行设计 |




