|
减振隔振器系统主要参数 |
|||||||
|
刚性连接的线性阻尼隔振器系统参数及设计已见表隔振原理及一次隔振的动力参数设计。本节简述弹性连接的线性阻尼隔振器的参数及设计。所谓弹性连接是指阻尼器通过弹簧连接于质体m和基础之间 |
|||||||
|
隔振 方式 |
系统简图 |
刚度比 S |
阻尼比 ζ |
频率比 Z |
绝对传递 系数TA |
相对传递 系数TR |
运动响应 系数TM |
|
主 动 隔 振 |
|
|
|
|
|
— |
|
|
被 动 隔 振 |
|
|
|
|
|
|
— |
|
主 动 隔 振 |
|
|
|
|
|
— |
|
|
被 动 隔 振 |
|
|
|
|
|
|
— |
|
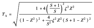
隔 振 考 核 指 标 计 算 式 |
绝对传递系数TA(隔振系数η) |
|
|||||
|
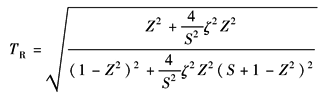
相对传递系数TR |
|
||||||
|
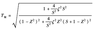
运动响应系数TM |
|
||||||
|
注:符号意义F—激振力,F=F0sinωt,N;F0—激振力幅值,N;u—支承运动位移,u=Usinωt,m;U—支承运动位移幅值,m;B—质量m的稳态运动位移幅值,m;δ—质量m和基础相对运动位移幅值,m;FT0—传给基础的动载荷幅值,N。 |
|||||||





















