|
隔振原理及一次隔振的动力参数设计 |
|||||
|
项目 |
主动(积极)隔振 |
被动(消极)隔振 |
|||
|
隔振目的与说明 |
机械设备本身为振源,为减少振动对周围环境的影响,即减少传给基础的动载荷,将机械设备与基础隔离开来 |
振源来自于基础运动,为了使外界振动尽可能少地传到机械设备中来,将机械设备与基础隔离开来 |
|||
|
力学模型 |
|
|
|||
|
主要考核内容 |
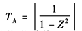
传给基础的动载荷值 FT0=TAF0 |
传动机械设备的位移幅值 B=TAU |
|||
|
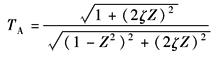
绝对传递系数TA(隔振系数η) |
|
|
|||
|
Z很小时 |
ω——被隔离的振源角频率; ωn——隔振系统的固有角频率 |
||||
|
绝对传递系数TA只与系统的结构参数(质量、阻尼、刚度)有关,与外激励的性质无关,所以,确定系统在传递简谐激励、非简谐激励、随机激励过程中,绝对传递系数都是一样的 |
|||||
|
隔振效率 |
|
||||
|
说明 |
从绝对传递系数公式中看出:在很小阻尼情况下(ξ≈0),只有频率比Z> |
||||
|
设计条件 |
在已知机械设备总体质量m1和激振角频率ω的条件下,可根据要求的隔振系数η进行隔振的动力参数设计。如果还知道激振力幅值,可根据基础所能承受的动载荷进行隔振的动力参数设计 |
在已知机械设备或装置的总体质量m1和支承运动角频率ω的条件下,可根据隔振系数η进行隔振的动力参数设计。如果还知道支承运动位移幅值,可根据机械设备允许的运动位移幅值进行隔振的动力参数设计 |
|||
|
频率比的选择 |
一般选择范围:Z=2~10 η=0.25~0.01 最佳选择范围:Z=3~5 η=0.11~0.04 |
|
|||
|
隔振弹簧总刚度 |
隔振弹簧总刚度: |
||||
|
辅 助 考 核 内 容 |
考核指标 |
瞬时最大运动响应:
|
瞬时最大相对运动响应:
|
||
|
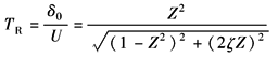
稳态响应系数 |
运动响应系数:
|
相对传递系数:
|
|||
|
说明 |
当Z> |
||||
|
设计思想 |
为防止机体m1和基础相互碰撞(包括机体与基础或与固定在基础上六个方向所有物体的碰撞),机体m1和基础间的最小间隙应大于二倍Bmax或δmax。为防止机体m2跳离隔振弹簧,弹簧的静压缩量应大于Bmax或δmax,弹簧的允许极限压缩量δ'j应大于二倍Bmax或δmax;非压缩弹簧相对允许变形量应大于二倍Bmax或δmax |
||||
|
隔振弹簧设计参数的确定 |
弹簧的最小、工作和极限变形量分别为: |
弹簧最小、工作和极限变形量分别为: |
|||
|
δ1≥0.2Bmax δn=δ1+Bmax δj=δ1+2Bmax 与之所对应的力分别为: P1=K'1δ1 Pn=K'1δn Pj=K'1δj |
|
δ1≥0.2δmax δn=δ1+δmax δj=δ1+2δmax 与之所对应的力分别为: P1=K'1δ1 Pn=K'1δn Pj=K'1δj |
|||
|
注:1.符号意义:F0—激振力幅值,N;U—支承运动位移幅值,m;ω—激振力或支承运动的角频率,rad/s;B—简谐激励稳态响应振幅,m;Bs—隔振弹簧在数值为F0的静力作用下的变形量,Bs=F0/K1,m;δ0—支承简谐运动,隔振物体与基础相对振动(x-u)的振幅,m;ωn—系统的固有角频率, 2.一次隔振指的是经一级弹簧进行振动隔离,隔振系统(如力学模型所示)是一个二阶单自由度系统。 |
|||||





