|
二自由度系统受迫振动的振幅和相位差角计算公式 |
||||
|
序号 |
模 型 及 简 图 |
振 幅 |
相 位 差 角 |
|
|
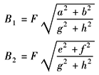
1 |
主 动 二 次 隔 振 |
|
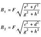
F——激振力幅 |
a,b,c…——见注 |
|
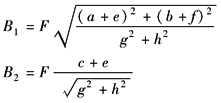
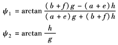
2 |
弹 性 连 杆 振 动 机 |
|
|
|
|
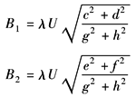
3 |
被 动 二 次 隔 振 |
|
U——振幅 |
|
|
4 |
动 力 减 振 |
|
|
|
|
注:a=K1+K2-m2ω2;b=(C1+C2)ω;c=K1-m1ω2;d=C1ω;e=-K1;f=-C1ω;g=(K1-m1ω2)(K2-m2ω2)-(K1m1+C1C2)ω2;h=[(K1-m1ω2)C2-(K2-m2ω2-m1ω2)C1]ω; |
||||












