|
多自由度系统自由振动模型参数及其特性 |
|||
|
序号 |
项目 |
二自由度系统 |
n自由度系统 |
|
1 |
力学模型 |
|
|
|
2 |
运动微 分方程 |
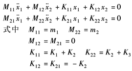
|
M——质量矩阵 K——刚度矩阵 Kij——j处产生单位位移(其他处位移为0)时,i点所需作用力的大小 |
|
3 |
特解 |
|
|
|
4 |
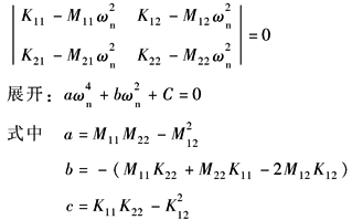
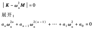
特征方程 |
|
|
|
5 |
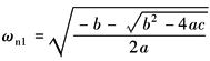
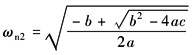
固有角 频率 |
一阶固有角频率:
二阶固有角频率:
|
用数值计算方法求特征方程的n个特征值,并由小到大排列,分别称为一阶、二阶、……、n阶固有角频率。通常前一、二、三阶的振动频率在总振动中较为重要 |
|
6 |
振幅联 立方程 |
|
|
|
7 |
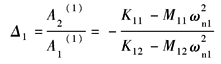
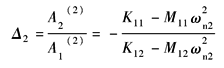
振幅比及 振型矢量 |
一阶振幅比:
一阶主振型(同相位) 二阶振幅比:
二阶主振型(反相位) |
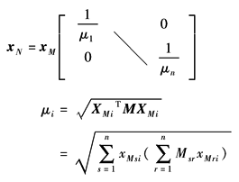
将一阶固有角频率ωn1代入振幅联立方程得一阶振型矢量xM1,同理可得xM2、…、xMn。也可用数值计算方法和固有角频率同时计算出来振型矩阵:
振型矩阵由n阶振型矢量组成n×n阶矩阵正则振型矩阵:
|
|
8 |
振型矢量 的正交性 |
一阶振型矢量和二阶振型矢量关于质量矩阵成正交,关于刚度矩阵也成正交 |
i阶振型矢量和j阶振型矢量关于质量矩阵成正交,关于刚度矩阵也成正交 |
|
9 |
能量关系 |
不同阶振型矢量的动能和势能不能相互转换,只有同阶振型矢量间的动能和势能才能相互转换 |
|
|
注:1.自由振动响应只在机械系统的启动和停机过程中存在,而且持续时间又较短,所以一般振动分析均不考虑自由振动响应。 2.n自由度系统的特征值(固有角频率)和特征矢量(振型矢量)的数值计算可用矩阵迭代法、QR法、雅可比法等计算程序进行计算。 |
|||


















