|
管状电加热元件的常用设计、计算公式和参考数据 |
|||||
|
1) 将介质加热至工作温度所需热量 Q=m(T2-T1)c (kJ) 式中 Q——被加热介质所吸收的热量,kJ; m——被加热介质的质量,kg; T2——被加热介质的工作温度,℃; T1——被加热介质的初温,℃; c——被加热介质的比热容,kJ/(kg·℃) 2) 根据所需热量求电功率
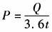
式中 Q——热能,kJ; P——电功率,W; t——电流通过导体的时间,h。 3) 成品冷态电阻
式中 R20——成品冷态电阻,Ω; U——元件工作电压,V; P——元件功率,W; Kt——电阻温度系数(北京钢丝厂生产的0CR25Al5电阻丝的系数,600℃以下一般为1.002~1.022) 4) 元件管壁表面负荷
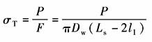
式中 σT——管壁表面负荷,W/cm2; P——元件功率,W; Dw——元件成品外径,cm; Ls——元件成品总长,cm; l1——元件引出棒长度,cm 5) 一般元件的弯曲半径和加工长度范围见下表 |
|||||
|
弯曲半径和加工长度 |
|||||
|
管径f /mm |
弯曲半径R/mm |
可加工长度/m |
管径f /mm |
弯曲半径R/mm |
可加工长度/m |
|
8.5 |
20 |
<1 |
16 |
40 |
<4.5 |
|
10 |
25 |
<2 |
20 |
50 |
<6 |
|
12 |
25,30 |
<2.5 |
|
|
|


