|
电动机功率计算 |
|||||||||||||||||||||||
|
计算电动机功率时,首先根据生产机械的负载功率初选电动机功率,再校核初选电动机的过载能力、启动能力和发热 |
|||||||||||||||||||||||
|
表1 初选电动机功率 |
|||||||||||||||||||||||
|
绘制负载图 |
首先经计算(或通过实测及对比)得出生产机械静阻负载图TD=f(t)或P=f(t),然后根据本表公式初步计算需要的电动机轴功率,根据计算功率并考虑一定的余量再初选电动机功率,随着调速范围和启动频繁程度的提高,余量系数也应随之加大 为了验算初选电动机是否合适,需要根据负载状态、生产机械的工艺参数和初选电动机的参数,根据本表公式计算电动机动态转矩和加、减速时间,绘制电动机转矩负载图TD=f(t)或电流负载图ID=f(t),功率负载图P=f(t),右图是转矩负载图 |
|
|||||||||||||||||||||
|
常 用 计 算 公 式 |
名称 |
公式 |
符号 |
||||||||||||||||||||
|
功
率 |
一般旋转运动的机械 |
|
P—— 所需电动机功率,kW TD—— 电动机转矩,N·m nD—— 电动机转速,r/min ωD—— 电动机角速度,rad/s |
||||||||||||||||||||
|
离心式通风机 |
|
P—— 所需电动机功率,kW K—— 余量系数(见表3) Q—— 空气耗量,m3/s H—— 空气压力,Pa η—— 风机效率,约为0.4~0.75② ηc—— 传动效率,直接传动时ηc=1 |
|||||||||||||||||||||
|
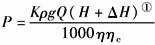
离心泵及活塞泵 |
|
P—— 所需电动机功率,kW K—— 余量系数(见表4) Q—— 泵的出水量,m3/s H—— 水头(扬程),m ΔH—— 主管损失水头,m η—— 泵的效率,一般取0.6~0.84② ηc—— 传动效率,直接传动时ηc=1 ρ—— 液体的密度,对于水ρ=1000kg/m3 g—— 重力加速度,g=9.81m/s2 |
|||||||||||||||||||||
|
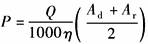
离心式压缩机 |
|
P—— 所需电动机功率,kW Q—— 压缩机的生产率,m3/s Ad—— 压缩1m3空气至绝对压力p1的等温功,J(见表2) Ar—— 压缩1m3空气至绝对压力p1的绝热功,J(见表2) η—— 压缩机总效率,约为0.62~0.8 |
|||||||||||||||||||||
|
直线运动机械 |
|
P—— 所需电动机功率,kW F—— 作用力,N v—— 运动速度,m/s η—— 传动效率 |
|||||||||||||||||||||
|
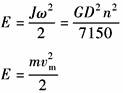
运动物体的动能 |
|
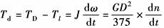
E—— 运动物体的动能,J m—— 物体的质量,kg J—— 折算到电动机轴上的转动惯量,kg·m2 GD2—— 折算到电动机轴上的总飞轮矩,N·m2 F—— 作用力,N η—— 传动效率 Tl—— 折算到电动机轴上的静阻负载转矩,N·m Tm—— 机械轴上的静阻转矩(包括摩擦阻转矩),N·m R—— 物体运动的旋转半径,m i—— 传动比 nD—— 电动机转速,r/min nm—— 机械轴转速,r/min Td—— 折算到电动机轴上的动态转矩,N·m TD—— 电动机转矩,N·m Jm—— 机械轴上的转动惯量,kg·m2
g—— 重力加速度,m/s2 Gm—— 直线运动物体的重力,N vm—— 直线运动物体的速度,m/s ωD—— 电动机角速度,rad/s
i1,i2,…,in—— 各轴对电动机轴的传动比 |
|||||||||||||||||||||
|
折算到电动机轴上的静阻负载转矩 |
|
||||||||||||||||||||||
|
折算到电动机轴上的动态转矩 |
|
||||||||||||||||||||||
|
折算到电动机轴上的转动惯量和飞轮矩 |
|
||||||||||||||||||||||
|
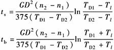
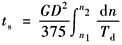
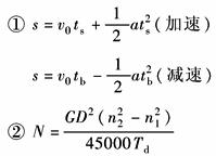
动态转矩恒定下启动(加速)、制动(减速)时间 |
|
ts—— 启动(加速)时间,s tb—— 制动(减速)时间,s v0—— 初始速度,m/s a—— 加速度,m/s2 Tl —— 静阻负载转矩,N·m TD—— 电动机转矩,N·m Td—— 动态(加减速)转矩,N·m s—— 行程,m N—— 电动机转过的转数
|
|||||||||||||||||||||
|
动态转矩线性变化下的启动、制动时间 |
|
||||||||||||||||||||||
|
动态转矩非恒定也非线性变化时的启动、制动时间 |
(Td>0时加速)
(Td<0时减速) |
||||||||||||||||||||||
|
行程 ①等变速直线运动时 ②动态转矩恒定时,加、减速过程电动机转过的转数 |
|
||||||||||||||||||||||
|
① 考虑偶然过载,所选电动机功率应大于计算功率,其容量附加值见表3及表4。 ② 此数据为参考值,实际数据以制造厂提供的为准。 |
|||||||||||||||||||||||
|
表2 Ad、Ar与终点压力p1的关系 |
|||||||||||||||||||||||
|
p1/MPa |
0.15 |
0.2 |
0.3 |
0.4 |
0.5 |
0.6 |
0.7 |
0.8 |
0.9 |
1.0 |
|||||||||||||
|
Ad/J |
39700 |
67700 |
108000 |
136000 |
158000 |
176000 |
191000 |
204000 |
216000 |
226000 |
|||||||||||||
|
Ar/J |
42200 |
75500 |
127000 |
168000 |
201000 |
230000 |
256000 |
280000 |
301000 |
321000 |
|||||||||||||
|
表3 离心风机电动机容量附加值 |
|||||||||||||||||||||||
|
功率/kW |
<1 |
1~2 |
2~5 |
>5 |
|||||||||||||||||||
|
附加值/% |
100 |
50 |
25 |
15~10 |
|||||||||||||||||||
|
K |
2 |
1.5 |
1.25 |
1.15~1.1 |
|||||||||||||||||||
|
表4 离心泵电动机容量附加值 |
|||||||||||||||||||||||
|
功率/kW |
<2 |
2~5 |
5~50 |
50~100 |
>100 |
||||||||||||||||||
|
附加值/% |
70 |
50~30 |
15~10 |
8~5 |
5 |
||||||||||||||||||
|
K |
1.7 |
1.5~1.3 |
1.15~1.1 |
1.08~1.05 |
1.05 |
||||||||||||||||||









