|
减速器的选用 |
|
(1) 承载能力计算 起重机各机构的工作级别分为M1~M8八种,详见表机械工作级别举例。QJ型、QJ-D型减速器承载能力是以M5工作级别为基准的许用输入功率PM5(表QJR、QJR-D型减速器承载能力(工作级别M5)、表QJR、QJR-D型减速器承载能力(连续工作型)、表QJS、QJRS、QJS-D、QJRS-D型减速器承载能力(工作级别M5)、表QJS、QJRS、QJS-D、QJRS-D型减速器承载能力(连续工作型))。若用其他工作级别时,减速器承载能力应按式(1-1)进行折算
式中 PM5——减速器承载能力表中的功率值,kW,见表QJR、QJR-D型减速器承载能力(工作级别M5)、表QJR、QJR-D型减速器承载能力(连续工作型)、表QJS、QJRS、QJS-D、QJRS-D型减速器承载能力(工作级别M5)、表QJS、QJRS、QJS-D、QJRS-D型减速器承载能力(连续工作型); i——工作级别数1~8; PMi——相对Mi工作级别的功率值,kW,见式(1-3) (2) 起重机各机构疲劳计算基本载荷Mmax ① 起升和非平衡变幅机构:
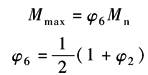
式中 φ6——动载系数; Mn——电机额定力矩,N·m; φ2——起升载荷系数,φ2=1~2,当起升速度高、系统刚度大、操作猛烈时,φ2取大值,见GB/T 3811—2008 ② 运行和回转机构:
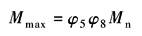
式中 φ8——刚性动载系数,φ8=1.2~2.0,φ8与电机的驱动特性和计算零件两侧的转动惯量的比值有关; φ5——弹性振动增大系数,φ5=1.5~1.7,当驱动机构中串接液力偶合器或摩擦离合器时,φ5=1.1~1.5 ③ 平衡变幅机构: 疲劳计算的基本载荷取为该零件承受的等效变幅静阻力矩,其他零件取为电机的额定力矩传到该计算零件力矩的1.3~1.4倍 当最大工作载荷低于2.7倍的额定力矩时,可不进行静强度校核,当超过此值时,应验算零件的静强度或选大机座号的减速器 (3) 计算功率值 根据计算基本载荷和转速可换算出该工作级别的功率值:
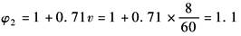
式中 n——减速器输入轴转速,r/min 如果工作级别不是M5,可按式(1-1)折算至M5工作级别的功率值PM5,然后再根据PM5、输入轴转速和公称传动比选择减速器 例 一台起重量为32t、跨度为25.5m的桥式起重机,其起升机构的电机额定功率为60kW,转速为750r/min,起升速度为8m/min,机构的工作级别为M6,选择减速器的传动比为40,要求第Ⅲ种装配型式,齿轮轴端 电机的额定转矩为
根据GB/T 3811—2008,起升载荷系数为
动载系数为
疲劳计算基本载荷为
相对M6工作级别的功率为
折算成M5工作级别时的功率为
当转速为750r/min、传动比为40时,查表QJS、QJRS、QJS-D、QJRS-D型减速器承载能力(工作级别M5),高速轴许用功率为78kW,相对应的减速器为QJS-D500-40ⅢC型减速器。 |


