|
圆柱直齿外啮合齿轮轮系设计计算 |
||||||||||||||||||||||||||
|
实 例 一 、 某 仪 表 运 动 型 传 动 齿 轮 轮 系 |
已知条件 |
传动比i=3.0、理论中心距a=15(允许调整) |
||||||||||||||||||||||||
|
初选轮系参数 |
模数m=0.5,齿数z1=15、z2=45,压力角α=20°,齿顶倒圆半径rT1=0.05、rT2=0.1,设计中心距a=15.25 |
|||||||||||||||||||||||||
|
材料选择 |
小齿轮-POM(M25或100P)、大齿轮-POM(M90或500P) |
|||||||||||||||||||||||||
|
齿 轮 几 何 尺 寸 计 算 |
按国标GB 2363—90基本齿条的要求(齿形参数及代号见表渐开线圆柱直齿轮基本齿条),先按x1=0.53,x2=0,h*a1=h*a2=1外啮合角变位圆柱齿轮几何尺寸计算公式设计。但轮齿齿根按全圆弧半径设计,其轮系参数计算见下表中“常规计算”列。对该组计算数据验算表明,当中心距已增大0.25mm,但在只计入中心距和齿轮公法线长度公差的情况下,轮系的齿侧啮合间隙仍显得过小。为此,进行多次调整后,由x1=0.53,x2=-0.15,h*a1=h*a2=1.15所求得轮系参数见下表中“修正计算”列。再次验算表明两齿轮齿形参数能保证轮系在较宽广的环境温度条件下,仍能满足轮系的最小侧隙和重合度等基本要求。实例轮系齿轮的产品齿形参数见下表中轮系齿形参数 |
|||||||||||||||||||||||||
|
轮 系 参 数 设 计 计 算 |
序号 |
参数名称 |
代号 |
计算公式 |
常规计算 |
修正计算 |
||||||||||||||||||||
|
|
|
|
已知条件: a',z1,z2,m,α,c*,h*a |
a'=15.25,z1=15,z2=45,m=0.5,α=20°,c*=0.35,h*a=1 |
||||||||||||||||||||||
|
1 |
分度圆直径 |
d |
d=mz |
d1=7.5,d2=22.5 |
||||||||||||||||||||||
|
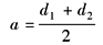
2 |
理论中心距 |
a |
|
a=15.25 |
||||||||||||||||||||||
|
3 |
中心距变动系数 |
y' |
|
y'=0.5 |
||||||||||||||||||||||
|
4 |
啮合角 |
α' |
|
α'=22.4388° |
||||||||||||||||||||||
|
5 |
总变位系数 |
xΣ |
|
x∑=0.5298 |
||||||||||||||||||||||
|
6 |
变位系数分配 |
x |
按设计要求选择 x∑=x1+x2 |
x1=0.53 x2=0 |
x1=0.5 x2=-0.15 |
|||||||||||||||||||||
|
7 |
齿高变动系数 |
Δy' |
Δy'=x∑-y' |
Δy'=0.0298 |
Δy'=0.0298 |
|||||||||||||||||||||
|
8 |
齿顶圆直径 |
da |
da=d+2m(h*a+x-Δy') |
da1=9,da2=23.47 |
da1=9.12,da2=23.47 |
|||||||||||||||||||||
|
9 |
齿根圆直径 |
df |
df=d+2m(h*a+c*-x) |
df1=6.68,df2=21.15 |
df1=6.5,df2=20.85 |
|||||||||||||||||||||
|
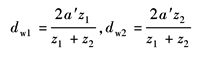
10 |
节圆直径 |
dw |
|
dw1=7.625,dw2=22.875 |
||||||||||||||||||||||
|
11 |
基圆直径 |
db |
db=dcosα |
db1=7.048,db2=21.1431 |
||||||||||||||||||||||
|
12 |
齿距 |
p |
p=πm |
p=1.5708 |
||||||||||||||||||||||
|
13 |
基圆齿距 |
pb |
pb=pcosα |
pb=1.4761 |
||||||||||||||||||||||
|
14 |
齿顶高 |
ha |
ha=m(h*a+x-Δy') |
ha1=0.75,ha2=0.485 |
ha1=0.81,ha2=0.485 |
|||||||||||||||||||||
|
15 |
齿根高 |
hf |
hf=m(h*a+c*-x) |
hf1=0.41,hf2=0.675 |
hf1=0.5,hf2=0.825 |
|||||||||||||||||||||
|
16 |
全齿高 |
h |
h=ha+hf |
h=1.16 |
h=1.31 |
|||||||||||||||||||||
|
17 |
顶隙 |
c |
c=c*m |
c=0.175 |
||||||||||||||||||||||
|
18 |
齿顶倒圆半径 |
ρa |
按设计要求选择 |
ρa1=0.05,ρa2=0.1 |
||||||||||||||||||||||
|
19 |
齿根倒圆半径 |
ρf |
从图a中测得 |
|
ρf1≈0.221,ρf2≈0.248 |
|||||||||||||||||||||
|
测 量 尺 寸 ︵ 仅 选 其 中 一 种 ︶ |
20 |
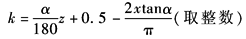
公 法 线 |
跨越齿数 |
k |
|
k1=2,k2=5 |
||||||||||||||||||||
|
长度 |
W |
W=mcosα[π(k-0.5)+zinvα+2xtanα] |
W1=2.5,W2=6.96 |
W1=2.490,W2=6.906 |
||||||||||||||||||||||
|
21 |
M 值 测 量 |
量柱直径 |
dp |
dp=(1.68-1.9)m (优先螺纹三针中选取) |
dp1=1.00,dp2=1.00 |
|||||||||||||||||||||
|
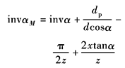
量柱中心处压力角 |
αM |
|
αM1=33.57005° αM2=24.26759° |
α1M=33.387° α2M=23.5629° |
||||||||||||||||||||||
|
量柱测量距离 |
M |
偶 数 齿 |
|
|
|
|||||||||||||||||||||
|
奇 数 齿 |
|
M1=9.41214 M2=24.17834 |
M1=9.3944 M2=24.0523 |
|||||||||||||||||||||||
|
轮 系 齿 形 参 数 表 ︵ 实 例 一 ︶ |
小齿轮 |
大齿轮 |
||||||||||||||||||||||||
|
模数 |
m |
0.5 |
模数 |
m |
0.5 |
|||||||||||||||||||||
|
齿数 |
z1 |
15 |
齿数 |
z2 |
45 |
|||||||||||||||||||||
|
压力角 |
α |
20° |
压力角 |
α |
20° |
|||||||||||||||||||||
|
变位系数 |
x1 |
0.5 |
变位系数 |
x2 |
-0.15 |
|||||||||||||||||||||
|
分度圆直径 |
d1 |
f 7.5 |
分度圆直径 |
d2 |
f 22.5 |
|||||||||||||||||||||
|
齿顶圆直径 |
da1 |
�� |
齿顶圆直径 |
da2 |
|
|||||||||||||||||||||
|
齿根圆直径 |
df1 |
�� |
齿根圆直径 |
df2 |
�� |
|||||||||||||||||||||
|
跨越齿数 |
k1 |
2 |
跨越齿数 |
k2 |
5 |
|||||||||||||||||||||
|
公法线长度 |
Wk1 |
|
公法线长度 |
Wk2 |
|
|||||||||||||||||||||
|
齿顶倒圆半径 |
ρa1 |
R0.06 |
齿顶倒圆半径 |
ρa2 |
R0.1 |
|||||||||||||||||||||
|
齿根全圆弧半径 |
ρf1 |
R0.221 |
齿根全圆弧半径 |
ρf2 |
R0.248 |
|||||||||||||||||||||
|
配对齿轮齿数 |
z2 |
45 |
配对齿轮齿数 |
z1 |
15 |
|||||||||||||||||||||
|
中心距 |
a |
15.25±0.025 |
||||||||||||||||||||||||
|
精度等级 |
9级(GB 2362—90) |
|||||||||||||||||||||||||
|
轮 系 齿 轮 名 义 齿 廓 啮 合 图 |
(a) 为了确保齿轮数据计算正确无误,可通过计算机CAD辅助设计软件绘制出齿轮名义齿廓(即齿轮最大实体齿廓)及其啮合图,即可检查轮系的名义啮合侧隙、重合度、齿根宽度以及公法线长度Wk或M值等。在图a中,直接测得的齿轮参数如下 小齿轮:Wk1=2.491,sf1≈1.002,ρf1≈0.221 大齿轮:Wk2=6.905,sf2≈0.994,ρf2≈0.248 轮系名义齿廓重合度:ε≈1.45 轮系最小侧隙:Δ=0.061,节圆处法向侧隙:Δjn=0.107 以上实测结果与调整后的轮系参数“修正计算”所得的数据基本一致;两齿轮的齿根厚度也基本相同 |
|||||||||||||||||||||||||
|
实 例 二 、 某 汽 车 电 机 动 力 传 动 型 齿 轮 轮 系 |
已知条件 |
传动比i=3.5、中心距a0=a=22.5(不调整) |
||||||||||||||||||||||||
|
轮系初选参数 |
模数m=1mm,齿数z1=10、z2=35,弧齿厚s1=1.95、s2=1.195,齿顶倒圆半径rT1=0.06,rT2=0.1 |
|||||||||||||||||||||||||
|
材料选择 |
小齿轮-POM(M25或100P)、大齿轮-POM(M90或500P) |
|||||||||||||||||||||||||
|
齿 轮 几 何 尺 寸 计 算 |
本实例采用AGMA PT基本齿条设计齿轮几何尺寸,有关基本齿条参数及其代号见表AGMA PT塑料齿轮基本齿条齿廓 基本齿条数据:α=20°,pBR=πm=3.1416,haBR=1.00m=1.00,hfBR=1.33m=1.33,hfFBR=1.04686m=1.0469,sBR=1.5708m=1.5708 根据以上轮系初选参数和基本齿条数据,按AGMA PT基本齿条设计齿轮尺寸的公式进行齿轮参数计算。本实例设计中,在中心距a0保持不变条件下,通过相关参数的调整,满足以下技术要求: ① 首先根据轮系初选的分圆齿厚s1=1.95、s2=1.195,校核小齿轮有无根切与齿顶是否变尖。由于小齿轮出现根切,应对齿厚进行调整; ② 所调整后的齿轮齿厚s1、s2,还应保证轮系能适应高低温的工作条件下、两齿轮存在制造和安装偏差等条件下,不会出现轮系齿轮轮齿胶合和卡死现象; ③ 如果小齿轮齿顶宽度过小,还可适当调整小齿轮齿顶圆直径加以避免,要求齿顶宽度基本满足sea≈0.275m。大小齿轮的有效齿顶圆直径还应保证轮系的重合度平均值εAVG≥1.2,在极端条件下不允许齿轮出现“脱啮”现象,即要求轮系最小重合度εmin≥1; ④ 由于传动比较大,小齿轮齿数少,无法做到两齿轮齿根宽度相同。本实例的齿根宽度sf1≥sf2,较好地满足了大小齿轮齿根强度要求; ⑤ 由于实例小齿轮的齿数少,因dT<dae、齿顶修缘的条件已不复存在;又因本实例的模数较小,故对大齿轮的齿顶修缘,其作用也不大,故产品图未给出齿顶修缘参数 由于对齿轮齿顶修缘存在以下技术难度:①采用EDM精密电火花成型加工齿轮型腔,所需电极要求采用基本齿条型的滚刀加工,这类专用滚刀的制造难度大、成本高;②采用EDM慢走丝线切割成型加工齿轮型腔,要求设计者根据与齿顶修缘基本齿条相啮的基本齿条,采用展成法求得型腔齿顶修缘段的共轭曲线,其计算过程复杂;③电极及型腔齿形的检测;④可能存在某些常规设计理念所不易发现的隐患,因此,对于这类齿轮的齿顶修缘,设计者应持慎重态度 |
|||||||||||||||||||||||||
|
序号 |
参数名称 |
代号 |
计算公式 |
设计计算 |
||||||||||||||||||||||
|
轮 系 参 数 设 计 计 算 |
|
|
|
已知齿轮参数: m=1,a=22.5,z1=10,z2=35,α=20° |
已知基本齿条参数: α=20°,pBR=3.1416,haBR=1.00, hfBR=1.33,hfFBR=1.069,sBR=1.5708 |
|||||||||||||||||||||
|
1 |
分度圆直径 |
d |
d=mz |
d1=10,d2=35 |
||||||||||||||||||||||
|
2 |
中心距 |
a |
|
a=22.5 |
||||||||||||||||||||||
|
3 |
齿厚 |
s |
在设计过程中调整确定 |
s1=1.91,s2=1.14 |
||||||||||||||||||||||
|
4 |
齿条变位量 |
y |
|
y1=0.466,y2=-0.5918 |
||||||||||||||||||||||
|
5 |
齿顶圆直径 |
dae |
dae=d+2(y+haBR) |
dae1=12.932,dae2=35.816 |
||||||||||||||||||||||
|
6 |
基圆直径 |
db |
db=dcosα |
db1=9.3969,db2=32.8892 |
||||||||||||||||||||||
|
7 |
齿根圆直径 |
df |
df=d+2y-2hfBR |
df1=8.272,df2=31.1564 |
||||||||||||||||||||||
|
8 |
构成圆直径 |
dF |
|
dF1=9.397,dF2=32.977 |
||||||||||||||||||||||
|
9 |
无根切判断式 |
BT |
BT=(2y+dsin2αt-2hfFBR)≥0 |
BT1=0.008,BT2=0.8169 |
||||||||||||||||||||||
|
10 |
齿顶修缘 起点直径 |
dT |
|
dT1=13.059>dae1(不能修缘) dT2=34.82<dae2(齿顶修缘) |
||||||||||||||||||||||
|
11 |
计算用参数 |
haeBR |
haeBR=0.5dbsinα(tanαae-tanα)-y |
haeBR1=0.4685,haeBR2=0.9699 |
||||||||||||||||||||||
|
12 |
齿顶修缘半径 |
RTBR |
RTBR=4.0mn |
RTBR2=4 |
||||||||||||||||||||||
|
13 |
齿顶倒圆半径 |
rT |
由设计者确定 |
rT1=0.06,rT2=0.1 |
||||||||||||||||||||||
|
14 |
齿顶修缘量 |
νTae |
|
νTae2=0.0312 |
||||||||||||||||||||||
|
15 |
无修缘齿顶宽 |
sae |
|
sae1=0.214 |
||||||||||||||||||||||
|
16 |
修缘齿顶宽 |
sTae |
|
sTae2≈0.774 |
||||||||||||||||||||||
|
17 |
顶隙 |
cBR |
|
cBR1=cBR2=0.454 |
||||||||||||||||||||||
|
18 |
齿根倒圆半径 |
ρf |
从图b中测得 |
ρf1≈0.48635,ρf2≈0.68083 |
||||||||||||||||||||||
|
测 量 尺 寸 ︵ 仅 选 一 种 ︶ |
19 |
公 法 线 |
跨越齿数 |
k |
|
k1=2,k2=3 |
||||||||||||||||||||
|
长度 |
W |
|
W1=4.887,W2=7.466 |
|||||||||||||||||||||||
|
20 |
M 值 测 量 |
量柱直径 |
dp |
dp=(1.68-1.9)m(优先螺纹三针中选取) |
dp1=1.9,dp2=1.732 |
|||||||||||||||||||||
|
量柱中心 处压力角 |
αM |
|
αM1=35.52674° αM2=17.78962° |
|||||||||||||||||||||||
|
量柱测量距 |
M |
偶 数 齿 |
|
M1=13.446 |
||||||||||||||||||||||
|
奇 数 齿 |
|
M2=35.238 |
||||||||||||||||||||||||
|
轮 系 齿 形 参 数 表 ︵ 实 例 二 ︶ |
小齿轮参数 |
大齿轮参数 |
||||||||||||||||||||||||
|
模数 |
m |
1 |
模数 |
m |
1 |
|||||||||||||||||||||
|
齿数 |
z1 |
10 |
齿数 |
z2 |
35 |
|||||||||||||||||||||
|
压力角 |
α |
20° |
压力角 |
α |
20° |
|||||||||||||||||||||
|
基本齿条变位量 |
y1 |
0.466 |
基本齿条变位量 |
y2 |
-0.5918 |
|||||||||||||||||||||
|
分度圆直径 |
d1 |
f 10 |
分度圆直径 |
d2 |
f 35 |
|||||||||||||||||||||
|
齿顶圆直径 |
da1 |
�� |
齿顶圆直径 |
da2 |
|
|||||||||||||||||||||
|
齿根圆直径 |
df1 |
|
齿根圆直径 |
df2 |
|
|||||||||||||||||||||
|
跨越齿数 |
k1 |
2 |
跨越齿数 |
k2 |
3 |
|||||||||||||||||||||
|
公法线长度 |
W1 |
|
公法线长度 |
W2 |
|
|||||||||||||||||||||
|
齿顶倒圆半径 |
rT1 |
R0.06 |
齿顶倒圆半径 |
rT2 |
R0.1 |
|||||||||||||||||||||
|
齿根全圆弧半径 |
ρf1 |
R0.486 |
齿根全圆弧半径 |
ρf2 |
R0.681 |
|||||||||||||||||||||
|
配对齿轮齿数 |
z2 |
35 |
配对齿轮齿数 |
z1 |
10 |
|||||||||||||||||||||
|
中心距 |
a |
22.5±0.035 |
||||||||||||||||||||||||
|
精度等级 |
9~10级(GB 2362—90) |
|||||||||||||||||||||||||
|
轮 系 齿 轮 名 义 齿 廓 啮 合 图 |
(b) 同样可通过计算机CAD辅助设计软件,绘制出两齿轮名义齿廓(即齿轮最大实体齿廓)及其啮合图,即可检查两齿轮轮齿的名义齿廓啮合侧隙、重合度、两齿轮齿根宽度以及Wk、M值等。在图b中,可分别测得如下参数 小齿轮:Wk1=4.887,sf1≈1.884,ρf1≈0.486 大齿轮:Wk2=7.466,sf2≈1.553,ρf2≈0.681 轮系名义齿廓重合度:ε=1.24 轮系最小侧隙:Δ=0.092,节圆法向侧隙:Δjn=0.125 以上实测结果与调整后的轮系参数设计计算所得的齿轮数据基本一致,说明本实例的调整设计计算是可行的 |
|||||||||||||||||||||||||








