|
行星齿轮传动设计计算例题 |
|
例 设计一台用于带式输送机的NGW型行星齿轮减速器(减速器采用直齿圆柱齿轮)。高速轴通过联轴器与电机直接连接;电机功率P=75kW,转速n1=1000r/min。减速器输出转速n2=32r/min (1) 计算传动比i
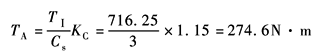
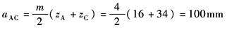
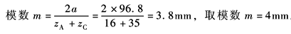
根据表行星轮数目与传动比范围中表得之知,单级传动比最大为13.7,故该NGW型行星齿轮减速器须采用二级行星传动 (2) 分配传动比 先按式E=AB3计算出数值E,而后利用表多级行星齿轮传动的传动比分配中图分配传动比 用角标Ⅰ表示高速级参数,Ⅱ表示低速级参数。设高速级与低速级齿轮材料及齿面硬度相同,即σHlimⅠ=σHlimⅡ 取行星轮个数CsⅠ=CsⅡ,齿面硬化系数ZWⅠ=ZWⅡ,载荷分布系数KCⅠ=KCⅡ,齿宽系数比 根据i=31.25,E=3.94查表多级行星齿轮传动的传动比分配中图得iⅠ=6.2,而iⅡ=i/iⅠ=31.25/6.2≈5 (3) 高速级计算 1) 确定齿数 为提高设计效率,一般不必自行配齿,只须首先将分配的传动比适当调整即可直接查表确定齿数。查表NGW型传动的配齿方法及齿数组合表中表,可知本题中只需将iⅠ=6.2调整为6.3,iⅡ=5不变即可。这样总传动比误差仅为0.8%,远小于一般减速器实际传动比允许的误差4%,完全符合要求 查表行星轮数目与传动比范围中表,取Cs=3,而后查表NGW型传动的配齿方法及齿数组合表中表,在i=6.3,Cs=3一栏中选取齿数组合:zA=16,zC=35,zB=86,i=6.375 2) 按接触强度初算A-C传动中心距和模数 输入转矩 设载荷不均匀系数KC=1.15; 在一对A-C传动中,小轮(太阳轮)传递的转矩为
太阳轮和行星轮的材料选用20CrMnTi渗碳淬火,齿面硬度要求为:太阳轮59~63HRC,行星轮53~58HRC;σHlim=1500MPa;许用接触应力σHp=0.9σHlim=1500×0.9=1350MPa 取齿宽系数ψa=0.5,载荷系数K=1.8,按表齿面接触强度计算公式计算中心距
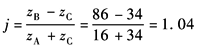
为提高啮合齿轮副的承载能力,将zC减少1个齿,改为zC=34,并进行不等角变位,则A-C传动未变位时的中心距为
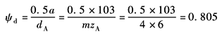
根据系数 A-C传动中心距变动系数为
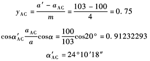
则中心距a'=aAC+yACm=100+0.716×4=102.86mm 取实际中心距为:a'=103mm 3) 计算A-C传动的实际中心距变动系数yAC和啮合角α'AC ∴ 4) 计算A-C传动的变位系数
用表变位方式及变位系数的选择中图2校核,z∑AC=16+34=50和x∑AC=0.662均在许用区内,可用 根据x∑AC=0.662,实际的u=34/16=2.13,在表变位方式及变位系数的选择中图2中,x∑纵坐标上0.662处向左作水平直线与③号斜线(u>1.6~2.2)相交,其交点向下作垂直线,与x1横坐标的交点即为太阳轮的变位系数xA=0.42,行星轮的变位系数为:xC=x∑AC-xA=0.662-0.42=0.242 5) 计算C-B传动的中心距变动系数yCB和啮合角α'CB C-B传动未变位时的中心距为: ∴ 6) 计算C-B传动的变位系数
7) 计算几何尺寸 按表角变位齿轮传动的几何计算的公式分别计算A、C、B齿轮的分度圆直径、齿顶圆直径、基圆直径、端面重合度等(略) 8) 验算A-C传动的接触强度和弯曲强度(详细计算过程从略) 强度计算公式同定轴线齿轮传动。接触强度验算表齿面接触强度核算的公式所列公式。弯曲强度验算按表轮齿弯曲强度核算的公式所列公式确定系数KV和Zv所用的圆周速度用相对于行星架的圆周速度
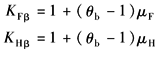
由式(KFβ=1+(θb-1)μF)和式(KHβ=1+(θb-1)μH)确定KFβ和KHβ
由表齿向载荷分布系数KHβ、KFβ中图1得μH=0.95,μF=1.0
由表齿向载荷分布系数KHβ、KFβ中图2得θb=1.26
其他系数及参数的确定和强度计算过程。计算结果如下(安全): 太阳轮的接触应力σHA=1328.7MPa<σHp=1350MPa; 行星轮的接触应力σHC=1267.8MPa<σHp=1350MPa; 太阳轮的弯曲应力σFA=337MPa<σFp=784MPa; 行星轮的弯曲应力σFC=341MPa<σFp=784MPa 由于齿轮强计算极为繁复,费时,因此在目前已有多种软件产品面世的情况下,完全可以借助计算机软件高效地完成设计计算工作 9) 根据接触强度计算结果确定内齿轮材料 根据表齿面接触强度核算的公式的公式得
计算结果:σHlim≥802MPa(在计算过程中,取SHmin=1.0) 根据σHlim选用40Cr并进行氮化处理,表面硬度达52~55HRC即可 10) C-B的弯曲强度验算(略) (4) 低速级计算 低速级输入转矩TⅡ=TⅠ×iⅠ×η=716.25×6.375×0.98=4475N·m 传动比iⅡ=5 计算过程同高速级(略) 计算结果:齿轮材料、热处理及齿面硬度同高速级 主要参数为:高速级zA=16,zC=34,zB=86,a'=103,m=4,xA=0.42,xC=0.242,xB=0.238,α'AC=24°10'18",α'CB=18°24'39" |











