|
均载机构浮动件的浮动量计算 |
||||
|
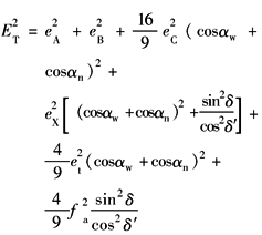
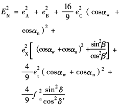
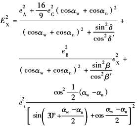
分析和计算浮动件的浮动量,目的在于验证所选择的均载机构是否能满足浮动量要求,设计及结构是否合理,或根据已知的浮动量确定各零件尺寸偏差。因零件有制造误差,要求浮动构件有相应的位移,如果浮动件不能实现等量位移,正常的动力传递就会受到影响。所以,位移量就是要求浮动件应该达到的浮动量 对于NGW型行星齿轮传动,为补偿各零件制造误差对浮动构件浮动量的要求见下表,其他型式的行星齿轮传动亦可参考该表。如NGWN型传动中,A、C、B轮和行星架X相当于NGW型传动,可直接使用表中公式,但需另外考虑D、E轮的制造误差对浮动量的要求。表中计算公式考虑了大啮合角变位齿轮的采用以及内外啮合角相差较大等因素,其计算结果较精确符合实际 从下表中可知,行星轮偏心误差在最不利的情况下对浮动量影响极大,故在成批生产中可选取重量及偏心误差相近的行星轮进行分组,然后测量一组行星轮的偏心方向并做出标记,在装配时使各行星轮的偏心方向与各自的中心线(行星架中心与行星轮轴孔中心的连线)成相同的角度,使行星轮偏心误差的影响基本抵消。还有一种降低行星轮偏心误差影响的措施是:将一组行星轮一起在滚齿机上加工,并做出标记,完成全部工序以后,不必测量偏心即可均衡地装在行星架上 |
||||
|
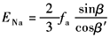
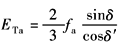
NGW型行星齿轮传动均载机构浮动构件的浮动量要求 |
||||
|
名 称 |
零件制 造误差 |
浮动太阳轮所需浮动量 |
浮动内齿轮所需浮动量 |
浮动行星架所需浮动量 |
|
零 件 制 造 误 差 对 浮 动 量 的 要 求 |
行星架上行星轮轴孔中心的径向(中心距)误差fa |
|
|
|
|
行星架上行星轮轴孔中心的切向误差et |
|
|
|
|
|
太阳轮偏心误差eA |
|
|
|
|
|
行星轮偏心误差eC |
|
|
|
|
|
内齿轮偏心误差eB |
|
|
|
|
|
行星架偏心误差eX |
|
|
|
|
|
合 理 装 配 对 浮 动 量 的 要 求 |
平方和浮动量 |
|
|
|
|
注:1.αw—外啮合齿轮副啮合角;αn—内啮合齿轮副啮合角;δ—行星架上行星轮轴孔之间的中心角偏差; 2.fa按表行星架的技术要求(1)中有关要求确定。 3.et可按式et=asinδ计算。工程上常选δ≤2'。由于角度偏差δ难于直接测量,工程上常用测量行星架上行星轮轴孔的孔距偏差fl来代替。而fl按表 行星架的技术要求中(2)有关要求确定。fl与fa及δ之间的几何关系为: |
||||










