|
接触强度校核计算(GB/T 10062.2—2003) |
|||||||||||||||||||||||||
|
(1) 接触强度计算公式 |
|||||||||||||||||||||||||
|
表1 |
|||||||||||||||||||||||||
|
项 目 |
计 算 公 式 |
||||||||||||||||||||||||
|
计算接触应力 |
斜交传动 |
|
|||||||||||||||||||||||
|
正交传动 |
|
||||||||||||||||||||||||
|
许用接触应力 |
|
||||||||||||||||||||||||
|
强度条件 |
|
||||||||||||||||||||||||
|
注:1.许用接触应力应对大、小齿轮分别计算,取其中较小者。 2.对有限寿命下的接触强度的计算,应考虑寿命系数ZN。 3.式中代号说明如下:ZH—节点区域系数,见(2);ZE—弹性系数, 算的重合度系数,见(3);Zβ—接触强度计算的螺旋角系数,Zβ=cosβm;ZK—接触强度计算的锥齿轮系数,见(4);KA—使用系数,见表使用系数KA中表1;KV—动载系数,见(5);KHβ—接触强度计算的齿向载荷分布系数,见(6);KHα—接触强度计算的齿向载荷分配系数,见(7);Ftm—齿宽中点分度圆上的名义切向力,N,见式(1);dv1—小轮当量圆柱齿轮分度圆直径,mm,见表3;beH—接触强度计算的有效齿宽,mm,与齿面接触区长度相当,一般取为0.85b(b为工作齿宽,指一对齿轮中的较小齿宽);uv—当量圆柱齿轮齿数比,uv=ucosδ1/cosδ2;σHlim—试验齿轮的接触疲劳极限,N/mm2,查表试验齿轮的接触疲劳极限σHlim中图1~图5;SHmin—接触强度计算的,见表最小安全系数;ZL—润滑剂系数,查图1;Zv—速度系数,用齿宽中点分度圆圆周速度查图2;ZR—粗糙度系数,见(8);ZX—接触强度计算的尺寸系数,见(9)。
图1 润滑剂系数ZL
图2 速度系数Zv 4.当采用新型非零变位锥齿轮时,建议在σH计算值上,再乘上一个变位后强度影响系数Zb,其取值见表主要尺寸的初步确定中表3(当采用传统的零传动设计时,Zb=1,与原国标计算值一致)。 |
|||||||||||||||||||||||||
|
(2) 节点区域系数ZH 由图3查取
图3 节点区域系数ZH (3) 接触强度计算的重合度系数Zε |
|||||||||||||||||||||||||
|
表2 重合度系数 |
|||||||||||||||||||||||||
|
类 型 |
直 齿 |
斜齿、弧齿 |
|||||||||||||||||||||||
|
εvβ<1 |
εvβ≥1 |
||||||||||||||||||||||||
|
Zε |
|
|
|
||||||||||||||||||||||
|
注:εvα和εvβ按表3计算。 |
|||||||||||||||||||||||||
|
表3 当量圆柱齿轮的重合度εvα、εvβ |
|||||||||||||||||||||||||
|
项 目
|
代号 |
计 算 公 式 |
|||||||||||||||||||||||
|
小 齿 轮 |
大 齿 轮 |
||||||||||||||||||||||||
|
分度圆直径 |
dv |
|
|
||||||||||||||||||||||
|
中心距 |
av |
|
|||||||||||||||||||||||
|
齿顶圆直径 |
dva |
|
|
||||||||||||||||||||||
|
端面齿形角 |
αvt |
|
|||||||||||||||||||||||
|
基圆直径 |
dvb |
|
|
||||||||||||||||||||||
|
啮合线长度 |
gvα |
|
|||||||||||||||||||||||
|
端面重合度 |
εvα |
|
|||||||||||||||||||||||
|
纵向重合度 |
εvβ |
|
|||||||||||||||||||||||
|
注:当大、小轮齿宽不等时,用较小齿宽计算。 |
|||||||||||||||||||||||||
|
(4) 接触强度计算的锥齿轮系数ZK ZK是考虑锥齿轮齿形与渐开线齿形的差异及轮齿刚度沿齿宽变化对齿面接触强度的影响。当齿顶和齿根修形适当时,取ZK=0.85 (5) 动载系数KV KV=NK+1 式中 N——临界转数比,即小齿轮转数n1与临界转数nE1之比,
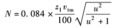
对工业及车辆传动,建议在亚临界区使用,即 N≤0.85 υtm——中点圆周速度πdm1n1/60000,m/s; u——锥齿轮副齿数比,z2/z1≥1; K——当N≤0.85时,其值为
fpt——齿距极限偏差,μm,通常按大轮查表齿距极限偏差±fpt值; yα——跑合量,μm,其值如表4; c'——单对齿刚度,取14N/(mm·μm); Cv12,Cv3——N≤0.85时的系数,其值如表5; Ftm——作用在锥齿轮齿宽中点端面分度圆上的名义切向力,N,按下式计算:
T1,2——名义转矩,T1,2=9550P/n1,2,N·m; P——名义功率,kW; n——转速,r/min |
|||||||||||||||||||||||||
|
表4 跑合量yα |
|||||||||||||||||||||||||
|
材 料 |
yα |
||||||||||||||||||||||||
|
硬齿面钢 |
0.075fpt<3μm |
||||||||||||||||||||||||
|
调质钢 |
160fpt/σHlim |
||||||||||||||||||||||||
|
铸铁 |
0.275fpt |
||||||||||||||||||||||||
|
注:当小、大齿轮材料不同时,yα为两轮所确定值的算术平均值。 |
|||||||||||||||||||||||||
|
表5 |
|||||||||||||||||||||||||
|
|
1<εvγ<2 |
εvγ>2 |
|||||||||||||||||||||||
|
Cv12 |
0.66 |
0.32+0.57/(εvγ-0.3) |
|||||||||||||||||||||||
|
Cv3 |
0.23 |
0.096/(εvγ-1.56) |
|||||||||||||||||||||||
|
注:εvγ——总重合度,εvγ=εvα+εvβ。 |
|||||||||||||||||||||||||
|
(6)齿向载荷分布系数KHβ、KFβ KHβ=KFβ=1.5KHβbe 式(2) |
|||||||||||||||||||||||||
|
表6 轴承系数KHβbe |
|||||||||||||||||||||||||
|
应 用 |
两轮都是两端支承 |
两轮都是悬臂支承 |
一轮两端支承,一轮悬臂支承 |
||||||||||||||||||||||
|
工业、船舶 |
1.10 |
1.50 |
1.25 |
||||||||||||||||||||||
|
飞机、车辆 |
1 |
1.25 |
1.10 |
||||||||||||||||||||||
|
对非鼓形直齿锥齿轮,应将由式(2)求得的值适当增大 (7) 齿间载荷分配系数KHα、KFα(DIN3991) |
|||||||||||||||||||||||||
|
表7 |
|||||||||||||||||||||||||
|
KAFmt/beH |
≥100N/mm |
<100N/mm |
|||||||||||||||||||||||
|
精度级 |
5以上 |
6 |
7 |
8 |
9 |
10 |
11以下 |
所有 |
|||||||||||||||||
|
硬 齿 面 |
直齿 |
KHα |
1 |
1.1 |
1.2 |
1/Z2ε≥1.2 |
|||||||||||||||||||
|
KFα |
1/Yε≥1.2 |
||||||||||||||||||||||||
|
曲齿、斜齿 |
KHα=KFα |
1 |
1.1 |
1.2 |
1.4 |
εα/cos2βbm≥1.4 |
|||||||||||||||||||
|
软 齿 面 |
直齿 |
KHα |
1 |
1.1 |
1.2 |
1/Z2ε≥1.2 |
|||||||||||||||||||
|
KFα |
1/Yε≥1.2 |
||||||||||||||||||||||||
|
曲齿、斜齿 |
KHα=KFα |
1 |
1.1 |
1.2 |
1.4 |
εα/cos2βbm≥1.4 |
|||||||||||||||||||
|
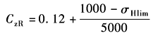
(8) 粗糙度系数ZR
式中 CzR——指数; 当850N/mm2≤σHlim≤1200N/mm2时,
当σHlim<850N/mm2时,取CzR=0.15; 当σHlim>1200N/mm2时,取CzR=0.08; Rz100——相对微观不平度十点高度(相对于av=100mm试验齿轮);
Rz1、Rz2——小轮、大轮的微观不平度十点高度,μm;Rz=(4~5)Ra;如齿面经过跑合,应取跑合后的数值; av——当量圆柱齿轮中心距,mm,按表3计算 ZR值也可由图4查取
(9) 接触强度计算的尺寸系数ZX |
|||||||||||||||||||||||||
|
表8 |
|||||||||||||||||||||||||
|
材 料 |
计 算 公 式 |
极 限 值 |
|||||||||||||||||||||||
|
调质钢、铸铁 |
Zx=1 |
Zx=1 |
|||||||||||||||||||||||
|
表面硬化钢 |
Zx=1.05-0.005mnm |
0.9≤Zx≤1 |
|||||||||||||||||||||||
|
氮化钢 |
Zx=1.08-0.011mnm |
0.75≤Zx≤1 |
|||||||||||||||||||||||
|
注:mmn的计算见表弯曲强度校核计算中表1注。 |
|||||||||||||||||||||||||















