|
高速双圆弧齿轮设计计算举例 |
|
例1 某炼油厂烟汽轮机用的高速双圆弧齿轮箱设计计算。设计技术要求如下:电动机功率P=9000kW,转速n2=1485r/min,鼓风机转速n1=6054r/min。当电动机启动并驱动齿轮箱和鼓风机进入额定工况时,为增速传动。以后烟汽轮机工作并驱动鼓风机、带动齿轮箱和电机(变成发电机),这时为减速传动。无论增速或减速,齿轮旋向不变,两侧齿面无规律地交替受力,轮齿承受交变载荷。外循环油泵喷油润滑,选用ISOVG46号汽轮机油。采用动压滑动轴承,轴承温度不高于80℃。齿轮箱噪声不高于92dB(A)。每天24h连续运行,要求持久寿命设计。要求齿轮做动平衡。有连接安装尺寸要求,装有盘车机构 (1) 齿轮设计,确定齿轮参数 1) 结构设计。因传递功率较大,采用单级人字齿轮结构,齿形为GB/T 12759—1991标准双圆弧齿廓,齿轮精度不低于6级(GB/T 15753—1995) 2) 确定齿轮参数。采用郑州机械研究所编制的“双圆弧齿轮计算机辅助设计软件”进行参数优化设计、几何尺寸计算和强度校核计算,大致计算过程如下 a.选择材料及热处理工艺,确定极限应力。大、小齿轮材料均选用42CrMo,锻坯,采用中硬齿面调质处理(轮齿心部硬度大于300HBS)。齿面进行深层离子渗氮,齿面硬度不低于650HV1。材料的极限应力查表强度计算公式中各参数的确定方法中图10e得σFlim=620MPa;查表强度计算公式中各参数的确定方法中图11e得σHlim=1150MPa b.选取最小安全系数Smin。由于传递功率较大,是生产线上的关键设备,要求高可靠性运行。最小安全系数值应稍大于标准推荐值。取弯曲强度计算的最小安全系数SFmin=1.8;接触强度计算的最小安全系数SHmin=1.5 c.齿数z。小齿轮齿数的确定,根据表基本参数选择高速齿轮传动,由于速比较大,小齿轮齿数z1不能选得太大,如果z1大,齿轮和箱体都大,不经济。根据安装尺寸要求,适当选z1,取z1=26
d.纵向重合度εβ。根据表基本参数选择,人字齿轮结构,暂取β=30°,φa=0.3。按基本参数选择中式(1)初算单侧纵向重合度,高速齿轮传动,最好εβ≥3
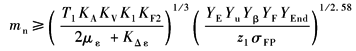
初算结果表明重合度尾数较大。因高速传动有噪声限制,应将齿端修薄 e.模数mn。按表双圆弧齿轮的强度计算公式中弯曲强度计算公式初算法向模数
式中各参数值的确定如下
使用系数KA:查表强度计算公式中各参数的确定方法中表2,按轻微振动增速传动KA=1.35×1.1=1.485 动载系数KV:查表强度计算公式中各参数的确定方法中图1,按6级精度,初定速度50m/s,得KV=1.38 接触迹间载荷分配系数K1:查表强度计算公式中各参数的确定方法中图2,按硬齿面对称布置,(φd按表基本参数选择的中间值0.9),得K1=1.08 接触迹内载荷分布系数KF2:查表强度计算公式中各参数的确定方法中表3,6级精度得KF2=1.08 弹性系数YE:查表强度计算公式中各参数的确定方法中表4,锻钢-锻钢,得YE=2.079 齿数比系数Yu:查表强度计算公式中各参数的确定方法中图4a或按式 时,得Yu=1.031 螺旋角系数Yβ:查表强度计算公式中各参数的确定方法中图5a,当β=30°时,Yβ=0.81 齿形系数YF:查表强度计算公式中各参数的确定方法中图6a,当Zv=26/cos330°=40.029时,YF1=1.95 齿端系数YEnd:因齿端修薄,YEnd=1 重合度的整数部分值με:με=3 接触迹系数KΔε:假定重合度的尾数部分Δε全部修去,KΔε=0 许用应力σFP:
式中0.7为交变载荷系数 寿命系数YN:查表强度计算公式中各参数的确定方法中图13a,设计为持久寿命YN=1 尺寸系数Yx:因模数未定,暂取Yx=1 最小安全系数SFmin:SFmin=1.8
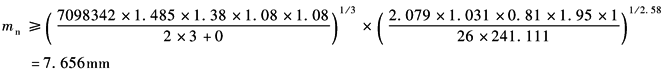
将上列各参数值代入表双圆弧齿轮的强度计算公式中弯曲强度计算的模数计算式得
取标准模数 mn=8mm 计算中心距a
按优先数系列考虑取中心距 a=600mm 计算螺旋角β
f.齿宽b。按初选的重合度3.639计算齿宽
经圆整取 b=190mm,为单侧齿宽 计算重合度εβ:
取齿端修薄后的有效齿宽为175mm,此时的有效重合度为
齿端修薄长度为
符合标准推荐的只修一端(啮入端)的修薄长度要求 g.确定的齿轮参数。模数mn=8mm,齿数z1=26、z2=106,螺旋角β=28°21' 27.49",中心距a=600mm,齿宽b =190(单侧齿宽,含修薄长度),有效纵向重合度εβ=3.307,轴向齿距
(2) 齿轮强度校核计算 1) 校核轮齿齿根弯曲疲劳强度。按表双圆弧齿轮的强度计算公式中的公式计算齿根弯曲应力
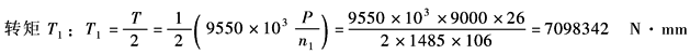
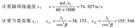
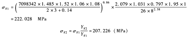
小齿轮名义转矩T1:T1=7098342N·mm 使用系数KA:KA=1.485 动载系数KV:查表强度计算公式中各参数的确定方法中图1,按6级精度,v=74.927m/s,得KV=1.52 接触迹间载荷分配系数K1:查表强度计算公式中各参数的确定方法中图2,按硬齿面对称布置, 效齿宽175mm计算),得K1=1.06 接触迹内载荷分布系数KF2:KF2=1.08 接触迹系数KΔε:查表强度计算公式中各参数的确定方法中图3a,按有效纵向重合度εβ=3.307,其中με=3,Δε=0.307。按Δε=0.307查25°~30°曲线,得KΔε=0.14 弹性系数YE:YE=2.079 齿数比系数Yu:Yu=1.031 螺旋角系数Yβ:查表强度计算公式中各参数的确定方法中图5a,或按式(sin2βcosβ)0.14=Yβ计算得Yβ=0.797 齿形系数YF:查表强度计算公式中各参数的确定方法中图6a,按当量齿数zv1=38.153,zv2=155.546分别查,得YF1=1.95,YF2=1.82 齿端系数YEnd:因齿端修薄,YEnd=1 将上列各参数值代入弯曲应力计算公式得:
按表双圆弧齿轮的强度计算公式中公式计算安全系数SF: 寿命系数YN:YN=1 尺寸系数Yx:查表强度计算公式中各参数的确定方法中图12a,按mn=8mm,得Yx=0.97 将各参数值代入计算公式: SF1和SF2均大于SFmin,齿根弯曲疲劳强度校核通过 2) 校核齿面接触疲劳强度。按表双圆弧齿轮的强度计算公式中的公式计算齿面接触应力:
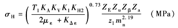
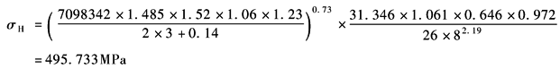
式中T1、KA、KV、K1、με、KΔε等同弯曲应力计算中的值。其余参数值如下: 接触迹内载荷分布系数KH2:查表强度计算公式中各参数的确定方法中表3,按6级精度得KH2=1.23 弹性系数ZE:查表强度计算公式中各参数的确定方法中表4,锻钢-锻钢,ZE=31.346 齿数比系数Zu:查表强度计算公式中各参数的确定方法中图4a,或按式 螺旋角系数Zβ:查表强度计算公式中各参数的确定方法中图5a,或按式(sin2βcosβ)0.27=Zβ计算得Zβ=0.646 接触弧长系数Za:查表强度计算公式中各参数的确定方法中图9a,按当量齿数Zv1=38.153和Zv2=155.546,得 Za1=0.983,Za2=0.961。 将上列各参数值代入接触应力计算公式得:
计算安全系数SH 按表双圆弧齿轮的强度计算公式中公式: 寿命系数ZN:查表强度计算公式中各参数的确定方法中图13b,因持久寿命,ZN=1 润滑剂系数ZL:查表强度计算公式中各参数的确定方法中图14,按黏度ν40=46mm2/s,得ZL=0.943 速度系数Zv:查表强度计算公式中各参数的确定方法中图15,按 将各参数值代入计算公式: SH大于SHmin,齿面接触疲劳强度校核通过 |












