|
双圆弧齿轮的基本齿廓(GB/T 12759—1991) |
||||||||||||||||||||||
|
GB/T 12759—1991标准规定了双圆弧齿轮基本齿条在法平面内的齿廓。齿廓图形及参数见表1,侧隙见表2 |
||||||||||||||||||||||
|
|
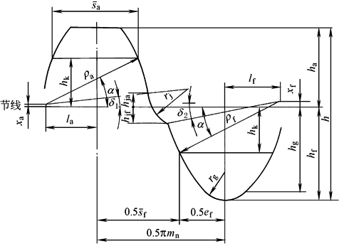
α—压力角;h—全齿高; ha—齿顶高;hf—齿根高; ρa—凸齿齿廓圆弧半径; ρf—凹齿齿廓圆弧半径; xa—凸齿齿廓圆心移距量; xf—凹齿齿廓圆心移距量; la—凸齿齿廓圆心偏移量; lf—凹齿齿廓圆心偏移量;
hk—接触点到节线的距离; hja—过渡圆弧和凸齿圆弧的切点到节线的距离; hjf—过渡圆弧和凹齿圆弧的交点到节线的距离; ef—凹齿接触点处槽宽;
δ1—凸齿工艺角;δ2—凹齿工艺角; rj—过渡圆弧半径;rg—齿根圆弧半径; hg—齿根圆弧和凹齿圆弧的切点到节线的距离 |
|||||||||||||||||||||
|
表1 双圆弧齿轮基本齿廓参数(摘自GB/T 12759—1991) |
||||||||||||||||||||||
|
法向模数 mn /mm |
基本齿廓的参数 |
|||||||||||||||||||||
|
α |
h* |
ha* |
hf* |
ρa* |
ρf* |
xa* |
xf* |
la* |
|
hk* |
||||||||||||
|
1.5~3 |
24° |
2 |
0.9 |
1.1 |
1.3 |
1.420 |
0.0163 |
0.0325 |
0.6289 |
1.1173 |
0.5450 |
|||||||||||
|
>3~6 |
24° |
2 |
0.9 |
1.1 |
1.3 |
1.410 |
0.0163 |
0.0285 |
0.6289 |
1.1173 |
0.5450 |
|||||||||||
|
>6~10 |
24° |
2 |
0.9 |
1.1 |
1.3 |
1.395 |
0.0163 |
0.0224 |
0.6289 |
1.1173 |
0.5450 |
|||||||||||
|
>10~16 |
24° |
2 |
0.9 |
1.1 |
1.3 |
1.380 |
0.0163 |
0.0163 |
0.6289 |
1.1173 |
0.5450 |
|||||||||||
|
>16~32 |
24° |
2 |
0.9 |
1.1 |
1.3 |
1.360 |
0.0163 |
0.0081 |
0.6289 |
1.1173 |
0.5450 |
|||||||||||
|
>32~50 |
24° |
2 |
0.9 |
1.1 |
1.3 |
1.340 |
0.0163 |
0.0000 |
0.6289 |
1.1173 |
0.5450 |
|||||||||||
|
法向模数 mn /mm |
基本齿廓的参数 |
|||||||||||||||||||||
|
lf* |
hja* |
hjf* |
ef* |
|
δ1 |
δ2 |
rj* |
rg* |
hg* |
|||||||||||||
|
1.5~3 |
0.7086 |
0.16 |
0.20 |
1.1773 |
1.9643 |
6°20'52" |
9°25'31" |
0.5049 |
0.4030 |
0.9861 |
||||||||||||
|
>3~6 |
0.6994 |
0.16 |
0.20 |
1.1773 |
1.9643 |
6°20'52" |
9°19'30" |
0.5043 |
0.4004 |
0 .9883 |
||||||||||||
|
>6~10 |
0.6957 |
0.16 |
0.20 |
1.1573 |
1.9843 |
6°20'52" |
9°10'21" |
0.4884 |
0.3710 |
1.0012 |
||||||||||||
|
>10~16 |
0.6820 |
0.16 |
0.20 |
1.1573 |
1.9843 |
6°20'52" |
9°0'59" |
0.4877 |
0.3663 |
1.0047 |
||||||||||||
|
>16~32 |
0.6638 |
0.16 |
0.20 |
1.1573 |
1.9843 |
6°20'52" |
8°48'11" |
0.4868 |
0.3595 |
1.0095 |
||||||||||||
|
>32~50 |
0.6455 |
0.16 |
0.20 |
1.1573 |
1.9843 |
6°20'52" |
8°35'01" |
0.4858 |
0.3520 |
1.0145 |
||||||||||||
|
注:表中带*号者,是指该尺寸与法向模数mn的比值,例如:h*=h/mn;ρa*=ρa/mn等。 |
||||||||||||||||||||||
|
表2 侧隙 |
||||||||||||||||||||||
|
法向模数mn/mm |
1.5~3 |
>3~6 |
>6~10 |
>10~16 |
>16~32 |
>32~50 |
||||||||||||||||
|
侧隙j |
0.06mn |
0.06mn |
0.04mn |
0.04mn |
0.04mn |
0.04mn |
||||||||||||||||
|
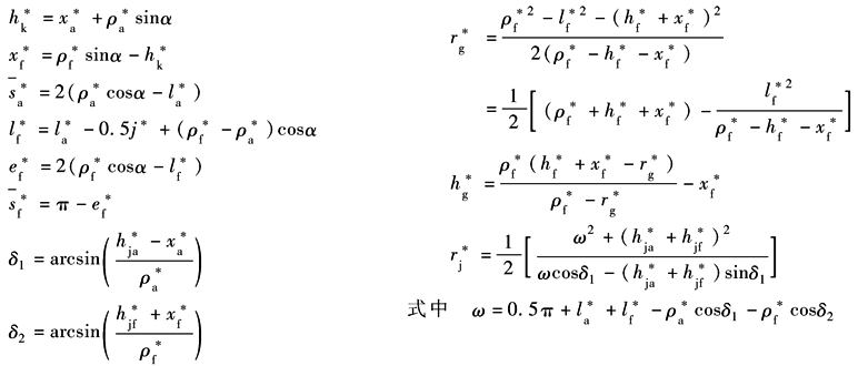
双圆弧齿轮齿廓参数计算公式:
如果标准齿廓不能满足设计和使用要求,可以依据上述计算公式设计新的非标齿廓。需要指出的是,齿廓设计对承载能力和传动质量影响很大。标准齿廓的制订,是经过了设计计算、光弹试验、台架承载能力试验、工业使用验证、多种方案反复论证,并经历了统一齿形、JB 4021—1981齿形,才确定了现行的基本齿廓国家标准。经20多年的工业使用实践,证明该基本齿廓是可靠的、经济实用的。设计非标齿廓一定要持科学的严肃认真的态度 |
||||||||||||||||||||||


