|
齿间载荷分配系数KHα、KFα |
||||||||||||
|
齿间载荷分配系数是考虑同时啮合的各对轮齿间载荷分配不均匀影响的系数。影响齿间载荷分配系数的主要因素有:受载后轮齿变形;轮齿制造误差,特别是基节偏差;齿廓修形;跑合效果等 应优先采用经精密实测或对所有影响因素精确分析得到的齿间载荷分配系数。一般情况下,可按下述方法确定 ①一般方法 KHα、KFα按表1中的公式计算 ②简化方法 简化方法适用于满足下列条件的工业齿轮传动和类似的齿轮传动:钢制的基本齿廓符合GB/T 1356的外啮合和内啮合齿轮;直齿轮和β≤30°的斜齿轮;单位齿宽载荷FtH/b≥350N/mm(当FtH/b≥350N/mm时,计算结果偏于安全;当FtH/b<350N/mm时,因KHα、KFα的实际值较表值大,计算结果偏于不安全) KHα可按表3查取 |
||||||||||||
|
表1 KHα、KFα计算公式 |
||||||||||||
|
项 目 |
公式或说明 |
|||||||||||
|
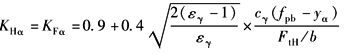
齿间载荷分配系数KHα① |
当总重合度εγ≤2
当总重合度εγ>2
若KHα<1.0,则取KHα=1.0 若KFα<1.0,则取KFα=1.0 |
|||||||||||
|
啮合刚度cγ |
见表轮齿刚度 |
|||||||||||
|
基节极限偏差fpb |
通常以大轮的基节极限偏差计算;当有适宜的修缘时,按此值的一半计算 |
|||||||||||
|
计算KHα时的切向力FtH |
FtH=FtKAKVKHβ,各符号见表名义切向力Ft、表使用系数KA、表动载系数KV、表螺旋线载荷分布系数KHβ |
|||||||||||
|
总重合度εγ |
εγ=εα+εβ |
|||||||||||
|
端面重合度εα |
|
|||||||||||
|
纵向重合度εβ |
|
|||||||||||
|
齿廓跑合量yα |
见表2 |
|||||||||||
|
重合度系数Zε |
见表重合度系数Zε |
|||||||||||
|
弯曲强度计算的重合度系数Yε |
||||||||||||
|
① 对于斜齿轮,如计算得到的KHα值过大,则应调整设计参数,使得KHα及KFα不大于εα。同时,公式KHα、KFα仅适用于齿轮基节偏差在圆周方向呈正常分布的情况。 |
||||||||||||
|
表2 齿廓跑合量yα |
||||||||||||
|
齿轮材料 |
齿廓跑合量yα/μm |
限 制 条 件 |
||||||||||
|
结构钢、调质钢、珠光体和贝氏体球墨铸铁 |
|
|
||||||||||
|
铸铁、素体球墨铸铁 |
yα=0.275fpb |
υ>10m/s时,yα≤11μm,fpb≤40μm; 5<υ≤10m/s时,yα≤22μm,fpb≤80μm; υ≤5m/s时,yα无限制 |
||||||||||
|
渗碳淬火钢或氮化钢、氮碳共渗钢 |
yα=0.075fpb |
yα≤3μm |
||||||||||
|
注:1.fpb—齿轮基节极限偏差,μm;σHlim—齿轮接触疲劳极限,N/mm2,见表试验齿轮的接触疲劳极限σHlim。 2.当大、小齿轮的材料和热处理不同时,其齿廓跑合量可取为相应两种材料齿轮副跑合量的算术平均值。 |
||||||||||||
|
表3 齿间载荷分配系数KHα,KFα |
||||||||||||
|
KAFt/b |
≥100N/mm |
<100N/mm |
||||||||||
|
精度等级 |
5 |
6 |
7 |
8 |
9 |
10 |
11~12 |
5级及更低 |
||||
|
硬齿面 直齿轮 |
KHα |
1.0 |
1.1 |
1.2 |
|
|||||||
|
KFα |
1/Yε≥1.2 |
|||||||||||
|
硬齿面 斜齿轮 |
KHα |
1.0 |
1.1 |
1.2 |
1.4 |
εα/cos2βb≥1.4 |
||||||
|
KFα |
||||||||||||
|
非硬齿面 直齿轮 |
KHα |
1.0 |
1.1 |
1.2 |
|
|||||||
|
KFα |
1/Yε≥1.2 |
|||||||||||
|
非硬齿面 斜齿轮 |
KHα |
1.0 |
1.1 |
1.2 |
1.4 |
εα/cos2βb≥1.4 |
||||||
|
KFα |
||||||||||||
|
注:1.经修形的6级精度硬齿面斜齿轮,取KHα=KFα=1。 2.表右部第5,8行若计算KFα>εγεαYε,则取KFα=εγεαYε。 3.Zε见表重合度系数Zε,Yε见表弯曲强度计算的重合度系数Yε。 4.硬齿面和软齿面相啮合的齿轮副,齿间载荷分配系数取平均值。 5.小齿轮和大齿轮精度等级不同时,则按精度等级较低的取值。 6.本表也可以用于灰铸铁和球墨铸铁齿轮的计算。 |
||||||||||||





