|
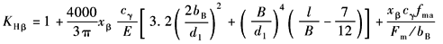
螺旋线载荷分布系数KHβ |
||||||||||||||||||||||||||||||||
|
螺旋线载荷分布系数KHβ是考虑沿齿宽方向载荷分布不均匀对齿面接触应力影响的系数
式中 wmax——单位齿宽最大载荷,N/mm; wm——单位齿宽平均载荷,N/mm; Fm——分度圆上平均计算切向力,N 影响齿向载荷分布的主要因素有: a.齿轮副的接触精度它主要取决于齿轮加工误差、箱体镗孔偏差、轴承的间隙和误差、大小轮轴的平行度、跑合情况等; b.轮齿啮合刚度、齿轮的尺寸结构及支承形式及轮缘、轴、箱体及机座的刚度; c.轮齿、轴、轴承的变形,热膨胀和热变形(这对高速宽齿轮尤其重要); d.切向、轴向载荷及轴上的附加载荷(例如带或链传动); e.设计中有无元件变形补偿措施(例如齿向修形) 由于影响因素众多,确切的载荷分布系数应通过实际的精密测量和全面分析已知的各影响因素的量值综合确定。如果通过测量和检查能确切掌握轮齿的接触情况,并作相应地修形,经螺旋线修形补偿的高精度齿轮副,在给定的运行条件下,其螺旋线载荷接近均匀分布,KHβ接近于1。在无法实现时,可按下述两种方法之一确定 ①一般方法 按基本假定和适用范围计算KHβ。基本假定和适用范围: a.沿齿宽将轮齿视为具有啮合刚度cγ的弹性体,载荷和变形都呈线性分布; b.轴齿轮的扭转变形按载荷沿齿宽均布计算,弯曲变形按载荷集中作用于齿宽中点计算,没有其他额外的附加载荷; c.箱体、轴承、大齿轮及其轴的刚度足够大,其变形可忽略; d.等直径轴或阶梯轴,dsh为与实际轴产生同样弯曲变形量的当量轴径; e.轴和小齿轮的材料都为钢;小齿轮轴可以是实心轴或空心轴(其内径应<0.5dsh),齿轮的结构支承形式见图1,偏心距s/l≤0.3 KHβ的计算公式见表1,当KHβ>1.5时,通常应采取措施降低KHβ值 |
||||||||||||||||||||||||||||||||
|
表1 |
||||||||||||||||||||||||||||||||
|
项 目 |
计算公式 |
项 目 |
计算公式 |
|||||||||||||||||||||||||||||
|
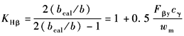
齿向载荷 分布系数 KHβ |
|
|
跑合后啮合螺旋线偏差Fβy/μm |
Fβy=Fβx-yβ=Fβxxβ① |
||||||||||||||||||||||||||||
|
初始啮 合螺旋 线偏差 Fβx/μm |
受载时接触不良 |
Fβx=1.33fsh+fma②;Fβx≥Fβmin |
||||||||||||||||||||||||||||||
|
|
|
受载时接触良好 |
Fβx=︱1.33fsh-fβ6︱③;Fβx≥Fβxmin |
|||||||||||||||||||||||||||||
|
受载时接触理想 |
Fβx=Fβxmin |
|||||||||||||||||||||||||||||||
|
单位齿宽平均载荷wm/N·mm-1 |
|
Fβxmin |
Fβxmin取0.005wm和0.5Fβ之大值 |
|||||||||||||||||||||||||||||
|
综合变形产生的啮合螺旋线偏差分量fsh/μm |
fsh=wmfsh0=(Fm/b)fsh0 |
|||||||||||||||||||||||||||||||
|
轮齿啮合刚度cγ |
见表轮齿刚度 |
单位载荷作用下的啮合螺旋线偏差fsh0/μm·mm·N-1 |
一般齿轮 0.023γ④ |
|||||||||||||||||||||||||||||
|
计算齿宽bcal |
按实际情况定 |
齿端修薄的齿轮 0.016γ |
||||||||||||||||||||||||||||||
|
修形或鼓形修整的齿轮 0.012γ |
||||||||||||||||||||||||||||||||
|
① yβ、xβ分别为螺旋线跑合量(μm)和螺旋线跑合系数,用表2公式计算。 ② fma为制造、安装误差产生的啮合螺旋线偏差分量(μm),用表3公式计算。 ③ fβ6为GB/T 10095.1或ISO 1328-1:1995规定的6级精度的螺旋线总偏差的允许值Fβ(μm)。 ④ γ为小齿轮结构尺寸系数,用表4公式计算。 |
||||||||||||||||||||||||||||||||
|
表2 yβ、xβ计算公式 |
||||||||||||||||||||||||||||||||
|
齿轮材料 |
螺旋线跑合量yβ(μm),跑合系数xβ |
适用范围及限制条件 |
||||||||||||||||||||||||||||||
|
结构钢、调质钢、珠光体或贝氏体球墨铸铁 |
|
υ>10m/s时,yβ≤12800/σHlim,Fβx≤40μm; 5<υ≤10m/s时,yβ≤25600/σHlim,Fβx≤80μm; υ≤5m/s时,yβ无限制 |
||||||||||||||||||||||||||||||
|
灰铸铁、铁素体球墨铸铁 |
|
υ>10m/s时,yβ≤22μm,Fβx≤40μm; 5<υ≤10m/s时,yβ≤45μm,Fβx≤80μm; υ≤5m/s时,yβ无限制 |
||||||||||||||||||||||||||||||
|
渗碳淬火钢、表面硬化钢、氮化钢、氮碳共渗钢、表面硬化球墨铸铁 |
|
yβ≤6μm,Fβx≤40μm |
||||||||||||||||||||||||||||||
|
注:1.σHlim—齿轮接触疲劳极限值,N/mm2,见表试验齿轮的接触疲劳极限σHlim。 2.当大小齿轮材料不同时,yβ=(yβ1+yβ2)/2,xβ=(xβ1+xβ2)/2,式中下标1,2分别表示小、大齿轮。 |
||||||||||||||||||||||||||||||||
|
表3 fma计算公式 μm |
||||||||||||||||||||||||||||||||
|
类别 |
确定方法或公式 |
|||||||||||||||||||||||||||||||
|
粗略数值 |
某些高精度的高速齿轮 |
fma=0 |
||||||||||||||||||||||||||||||
|
一般工业齿轮 |
fma=15 |
|||||||||||||||||||||||||||||||
|
给定精度等级 |
装配时无检验调整 |
fma=1.0Fβ |
||||||||||||||||||||||||||||||
|
装配时进行检验调整(对研,轻载跑合,调整轴承,螺旋线修形,鼓形齿等) |
fma=0.5Fβ |
|||||||||||||||||||||||||||||||
|
齿端修薄 |
fma=0.7Fβ |
|||||||||||||||||||||||||||||||
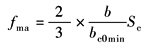
|
给定空载下接触斑点长度bc0 |
Sc——涂色层厚度,一般为2~20μm,计算时可取 Sc=6μm 如按最小接触斑点长度bc0min计算
如测得最长和最短的接触斑点长度
|
|||||||||||||||||||||||||||||||
|
表4 小齿轮结构尺寸系数γ |
||||||||||||||||||||||||||||||||
|
齿轮形式 |
γ的计算公式 |
B* |
||||||||||||||||||||||||||||||
|
功率不分流 |
功率分流,通过该对齿轮k%的功率 |
|||||||||||||||||||||||||||||||
|
直齿轮及单斜齿轮 |
|
B*=1 |
B*=1+2(100-k)/k |
|||||||||||||||||||||||||||||
|
人字齿轮或双斜齿轮 |
|
B*=1.5 |
B*=0.5+(200-k)/k |
|||||||||||||||||||||||||||||
|
注:l—轴承跨距,mm;s—小轮齿宽中点至轴承跨距中点的距离,mm;d1—小轮分度圆直径,mm;dsh—小轮轴弯曲变形当量直径,mm;k'—结构系数,见图1;bB—单斜齿轮宽度,mm。
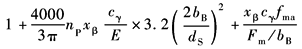
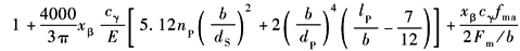
图1 小齿轮结构系数k' 注:1.对人字齿轮或双斜齿轮,图中实、虚线各代表半边斜齿轮中点的位置,s按用实线表示的变形大的半边斜齿轮的位置计算,b取单个斜齿轮宽度。 2.图中,d1/dsh≥1.15为刚性轴,d1/dsh<1.15为非刚性轴。通常采用键连接的套装齿轮都属非刚性轴。 3.齿轮位于轴承跨距中心时(s≈0),最好按下面典型结构齿轮的公式计算KHβ。 4.当采用本图以外的结构布置形式或s/l超过本图规定的范围,或轴上作用有带轮或链轮之类的附加载荷时,推荐做进一步的分析。 ② 典型结构齿轮的KHβ 适用条件:符合①中a、b、c,并且小齿轮直径和轴径相近,轴齿轮为实心或空心轴(内孔径应小于0.5dsh),对称布置在两轴承之间,(s/l≈0);非对称布置时,应把估算出的附加弯曲变形量加到fma上 符合上述条件的单对齿轮、轧机齿轮和简单行星传动的KHβ值可按表5、表6和表7中的公式计算 |
||||||||||||||||||||||||||||||||
|
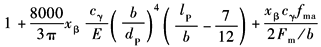
表5 单对齿轮的KHβ计算公式 |
||||||||||||||||||||||||||||||||
|
齿轮类型 |
修形情况 |
KHβ计 算 公 式 |
||||||||||||||||||||||||||||||
|
直齿轮、斜齿轮 |
不修形 |
|
||||||||||||||||||||||||||||||
|
部分修形 |
|
|||||||||||||||||||||||||||||||
|
完全修形 |
|
|||||||||||||||||||||||||||||||
|
人字齿轮或双斜齿轮 |
不修形 |
|
||||||||||||||||||||||||||||||
|
完全修形 |
|
|||||||||||||||||||||||||||||||
|
注:1.本表各公式适用于全部转矩从轴的一端输入的情况,如同时从轴的两端输入或双斜齿轮从两半边斜齿轮的中间输入,则应做更详细的分析。 2.部分修形指只补偿扭转变形的螺旋线修形;完全修形指同时可补偿弯曲、扭转变形的螺旋线修形。 3.B—包括空刀槽在内的双斜齿全齿宽,mm;bB—单斜齿轮宽度,mm,对因结构要求而采用超过一般工艺需要的大齿槽宽度的双斜齿轮,应采用一般方法计算;Fm—分度圆上平均计算切向力,N。 |
||||||||||||||||||||||||||||||||
|
表6 轧机齿轮的KHβ计算公式 |
||||||||||||||||||||||||||||||||
|
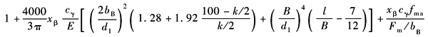
是否修形 |
齿轮类型 |
KHβ 计 算 公 式 |
||||||||||||||||||||||||||||||
|
不修形 |
直齿轮、斜齿轮 |
|
||||||||||||||||||||||||||||||
|
双斜齿轮或人字齿轮 |
|
|||||||||||||||||||||||||||||||
|
完全修形 |
直齿轮、斜齿轮 |
按表5式(3) |
||||||||||||||||||||||||||||||
|
双斜齿轮或人字齿轮 |
按表5式(3) |
|||||||||||||||||||||||||||||||
|
注:1.如不修形按双斜齿或人字齿轮公式计算的KHβ>2,应核查设计,最好用更精确的方法重新计算。 2.B为包括空刀槽在内的双斜齿宽度,mm;bB为单斜齿轮宽度,mm。 3.k表示当采用一对轴齿轮,u=1,功率分流,被动齿轮传递k%的转矩,(100-k)%的转矩由主动齿轮的轴端输出,两齿轮皆对称布置在两端轴承之间。 |
||||||||||||||||||||||||||||||||
|
表7 行星传动齿轮的KHβ计算公式 |
||||||||||||||||||||||||||||||||
|
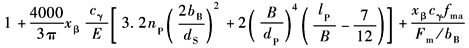
直 齿 轮 、 单 斜 齿 轮 |
齿轮副 |
轴承形式 |
修形情况 |
KHβ 计 算 公 式 |
||||||||||||||||||||||||||||
|
太阳轮(S)| 行星轮(P) |
Ⅰ |
不修形 |
|
|||||||||||||||||||||||||||||
|
修形(仅补偿扭转变形) |
按表5式(3) |
|||||||||||||||||||||||||||||||
|
Ⅱ |
不修形 |
|
||||||||||||||||||||||||||||||
|
完全修形(弯曲和扭转变形完全补偿) |
按表5式(3) |
|||||||||||||||||||||||||||||||
|
内齿轮(H)| 行星轮(P) |
Ⅰ |
修形或不修形 |
按表5式(3) |
|||||||||||||||||||||||||||||
|
Ⅱ |
不修形 |
|
||||||||||||||||||||||||||||||
|
修形(仅补偿弯曲变形) |
按表5式(3) |
|||||||||||||||||||||||||||||||
|
人 字 齿 轮 或 双 斜 齿 轮 |
太阳轮(S)| 行星轮(P) |
Ⅰ |
不修形 |
|
||||||||||||||||||||||||||||
|
修形(仅补偿扭转变形) |
按表5式(5) |
|||||||||||||||||||||||||||||||
|
Ⅱ |
不修形 |
|
||||||||||||||||||||||||||||||
|
完全修形(弯曲和扭转变形完全补偿) |
按表5式(5) |
|||||||||||||||||||||||||||||||
|
内齿轮(H)| 行星轮(P) |
Ⅰ |
修形或不修形 |
按表5式(5) |
|||||||||||||||||||||||||||||
|
Ⅱ |
不修形 |
|
||||||||||||||||||||||||||||||
|
修形(仅补偿弯曲变形) |
按表5式(5) |
|||||||||||||||||||||||||||||||
|
注:1.Ⅰ,Ⅱ表示行星轮及其轴承在行星架上的安装形式:Ⅰ—轴承装在行星轮上,转轴刚性固定在行星架上;Ⅱ—行星轮两端带轴颈的轴齿轮,轴承装在转架上。 2.dS—太阳轮分度圆直径,mm;dP—行星轮分度圆直径,mm;lP—行星轮轴承跨距,mm;B—包括空刀槽在内的双斜齿宽度,mm;bB—单斜齿轮宽度,mm;B、bB见表6。 3.Fm=FtKAKVKr/nP Kr—行星传动不均载系数;nP—行星轮个数。 |
||||||||||||||||||||||||||||||||
|
③简化方法 适用范围如下 a.中等或较重载荷工况:对调质齿轮,单位齿宽载荷Fm/b为400~1000N/mm;对硬齿面齿轮,Fm/b为800~1500N/mm b.刚性结构和刚性支承,受载时两轴承变形较小可忽略;齿宽偏置度s/l(见图1)较小,符合表8、表9限定范围 c.齿宽b为50~400mm,齿宽与齿高比b/h为3~12,小齿轮宽径比b/d1对调质的应小于2.0,对硬齿面的应小于1.5 d.轮齿啮合刚度cγ为15~25N/(mm·μm) e.齿轮制造精度对调质齿轮为5~8级,对硬齿面齿轮为5~6级;满载时齿宽全长或接近全长接触(一般情况下未经螺旋线修形) f.矿物油润滑 符合上述范围齿轮的KHβ值可按表8和表9中的公式计算 |
||||||||||||||||||||||||||||||||
|
表8 调质齿轮KHβ的简化计算公式 |
||||||||||||||||||||||||||||||||
|
|
||||||||||||||||||||||||||||||||
|
精度等级 |
a1 |
a2 |
a3(支撑方式) |
a4 |
||||||||||||||||||||||||||||
|
对称 |
非对称 |
悬臂 |
||||||||||||||||||||||||||||||
|
装配时不作 检验调整 |
5 |
1.14 |
0.18 |
0 |
0.6 |
6.7 |
2.3×10-4 |
|||||||||||||||||||||||||
|
6 |
1.15 |
0.18 |
0 |
0.6 |
6.7 |
3.0×10-4 |
||||||||||||||||||||||||||
|
7 |
1.17 |
0.18 |
0 |
0.6 |
6.7 |
4.7×10-4 |
||||||||||||||||||||||||||
|
8 |
1.23 |
0.18 |
0 |
0.6 |
6.7 |
6.1×10-4 |
||||||||||||||||||||||||||
|
装配时检 验调整或 对研跑合 |
5 |
1.10 |
0.18 |
0 |
0.6 |
6.7 |
1.2×10-4 |
|||||||||||||||||||||||||
|
6 |
1.11 |
0.18 |
0 |
0.6 |
6.7 |
1.5×10-4 |
||||||||||||||||||||||||||
|
7 |
1.12 |
0.18 |
0 |
0.6 |
6.7 |
2.3×10-4 |
||||||||||||||||||||||||||
|
8 |
1.15 |
0.18 |
0 |
0.6 |
6.7 |
3.1×10-4 |
||||||||||||||||||||||||||
|
表9 硬齿面齿轮KHβ的简化计算公式 |
||||||||||||||||||||||||||||||||
|
|
||||||||||||||||||||||||||||||||
|
装配时不作检验调整;首先用KHβ≤1.34计算 |
||||||||||||||||||||||||||||||||
|
精度等级 |
a1 |
a2 |
a3(支撑方式) |
a4 |
||||||||||||||||||||||||||||
|
对称 |
非对称 |
悬臂 |
||||||||||||||||||||||||||||||
|
KHβ≤1.34 |
5 |
1.09 |
0.26 |
0 |
0.6 |
6.7 |
2.0×10-4 |
|||||||||||||||||||||||||
|
KHβ>1.34 |
1.05 |
0.31 |
0 |
0.6 |
6.7 |
2.3×10-4 |
||||||||||||||||||||||||||
|
KHβ≤1.34 |
9 |
1.09 |
0.26 |
0 |
0.6 |
6.7 |
3.3×10-4① |
|||||||||||||||||||||||||
|
KHβ>1.34 |
1.05 |
0.31 |
0 |
0.6 |
6.7 |
3.8×10-4 |
||||||||||||||||||||||||||
|
装配时检验调整或跑合:首先用KHβ≤1.34计算 |
||||||||||||||||||||||||||||||||
|
KHβ≤1.34 |
5 |
1.05 |
0.26 |
0 |
0.6 |
6.7 |
1.0×10-4 |
|||||||||||||||||||||||||
|
KHβ>1.34 |
0.99 |
0.31 |
0 |
0.6 |
6.7 |
1.2×10-4 |
||||||||||||||||||||||||||
|
KHβ≤1.34 |
6 |
1.05 |
0.26 |
0 |
0.6 |
6.7 |
1.6×10-4 |
|||||||||||||||||||||||||
|
KHβ>1.34 |
1.00 |
0.31 |
0 |
0.6 |
6.7 |
1.9×10-4 |
||||||||||||||||||||||||||
|
① GB/T 3480—1997误为0.47×10-3。 |
||||||||||||||||||||||||||||||||













