|
齿廓图的评定 |
|||||||||||||
|
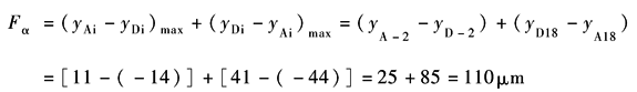
1)见表齿廓偏差类中图齿廓偏差(iii)的图解 其齿廓迹线的设计齿廓为修形的渐开线,减薄区迹线偏向体外,见图1和表1 可得 斜直线截距
斜率
图1 齿廓偏差(iii)图形 表1 齿廓偏差(iii)的数据 |
|||||||||||||
|
xi |
-2 |
-1 |
0 |
1 |
2 |
3 |
4 |
5 |
6 |
7 |
8 |
9 |
10 |
|
|
|
|
0 |
1 |
4 |
9 |
16 |
25 |
36 |
49 |
64 |
81 |
100 |
|
yDi |
-14 |
-8 |
0 |
6 |
10 |
16 |
22 |
26 |
29 |
33 |
35 |
37 |
38 |
|
yAi |
11 |
5 |
0 |
-7 |
-13 |
-18 |
-24 |
-28 |
-32 |
-33 |
-27 |
-24 |
-20 |
|
(yDi-yAi) |
|
|
0 |
13 |
23 |
34 |
46 |
54 |
61 |
66 |
62 |
61 |
58 |
|
xi(yDi-yAi) |
|
|
0 |
13 |
46 |
102 |
184 |
270 |
366 |
462 |
496 |
549 |
580 |
|
yHi |
23 |
25 |
28 |
30 |
34 |
36 |
38 |
41 |
43 |
46 |
49 |
51 |
54 |
|
(yDi-yHi)=yMi |
-37 |
-33 |
-28 |
-24 |
-20 |
-20 |
-16 |
-15 |
-14 |
-13 |
-14 |
-14 |
-16 |
|
xi |
11 |
12 |
13 |
14 |
15 |
16 |
17 |
18 |
19 |
20 |
21 |
22 |
23 |
|
|
121 |
144 |
169 |
196 |
225 |
256 |
289 |
324 |
361 |
400 |
441 |
484 |
529 |
|
yDi |
39 |
41 |
42 |
43 |
44 |
43 |
42 |
41 |
40 |
39 |
38 |
37 |
36 |
|
yAi |
-18 |
-13 |
-8 |
-13 |
-21 |
-26 |
-40 |
-44 |
-43 |
-39 |
-36 |
-39 |
-42 |
|
(yDi-yAi) |
57 |
54 |
50 |
56 |
65 |
69 |
82 |
85 |
83 |
78 |
74 |
76 |
78 |
|
xi(yDi-yAi) |
637 |
648 |
650 |
784 |
975 |
1104 |
1394 |
1530 |
1577 |
1560 |
1554 |
1672 |
1794 |
|
yHi |
56 |
59 |
62 |
64 |
67 |
69 |
72 |
75 |
77 |
80 |
82 |
85 |
88 |
|
(yDi-yHi)=yMi |
-17 |
-18 |
-20 |
-21 |
-23 |
-26 |
-30 |
-34 |
-37 |
-41 |
-44 |
-48 |
-52 |
|
齿廓斜直线截距
取
由yH值求出
a.齿廓总偏差Fα 按定义因为(LAE-Lα)减薄区的偏差偏向体外的正偏差,必须计入偏差值
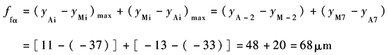
b.齿廓形状偏差ffα 按定义因为减薄区偏差偏向体外的正偏差,必须计入偏差值
c.齿廓斜率偏差fHα 按定义,
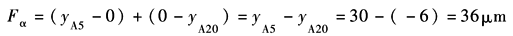
2)图2齿廓偏差(i)图解 其齿廓迹线的设计齿廓迹线为不修形的渐开线,yDi=0,减薄区迹线偏向体内,见图2和表2
图2 齿廓偏差(i)的图形 可得 平均齿廓迹线(斜直线)截距
斜率
平均齿廓迹线(斜直线)截距
取yM0=bM0=18;yM23=bM23=-1列于表2和图2 表2 齿廓偏差(i)的数据 |
|||||||||||||
|
xi |
-2 |
-1 |
0 |
1 |
2 |
3 |
4 |
5 |
6 |
7 |
8 |
9 |
10 |
|
yAi |
-20 |
-4 |
0 |
5 |
12 |
20 |
26 |
30 |
26 |
20 |
10 |
7 |
4 |
|
xiyAi |
|
|
0 |
5 |
24 |
60 |
104 |
150 |
156 |
140 |
80 |
63 |
40 |
|
yMi |
20 |
19 |
18 |
17 |
16 |
15 |
14 |
14 |
13 |
12 |
11 |
10 |
9 |
|
xi |
11 |
12 |
13 |
14 |
15 |
16 |
17 |
18 |
19 |
20 |
21 |
22 |
23 |
|
yAi |
5 |
6 |
8 |
10 |
8 |
6 |
3 |
0 |
-4 |
-6 |
-4 |
2 |
3 |
|
xiyAi |
55 |
72 |
104 |
140 |
120 |
96 |
51 |
0 |
-76 |
-120 |
-84 |
44 |
69 |
|
yMi |
9 |
8 |
7 |
6 |
5 |
4 |
4 |
3 |
2 |
1 |
0 |
-1 |
-1 |
|
①齿廓总偏差Fα: 因为
则
②齿廓形状偏差ffα:
③齿廓斜率偏差fHα:
|
|||||||||||||








