|
等滑动率的计算 |
||
|
G.Nimann & H.Winter在《机械零件》中指出,在啮合几何参数中,最重要的影响量为相对滑动速度。因此,在有胶合危险时,应当把齿形选择得使啮合线上的啮出段与啮入段的长度差不多一样长(由于有不利的啮入冲击——推滑,啮合线上啮入段要稍微短一些) 大部分有关齿轮的手册都有滑动率计算公式,大小齿轮齿顶与对应齿轮啮合位置是滑动率最大的地方,对于高速传动,基本都计算最大滑动率大致相等去分配总变位系数。外啮合的最大滑动率的计算公式如下:
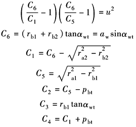
这组公式只是在现有参数下计算出η1max和η2max,想要η1max≈η2max还需要在控制一定需要精度下迭代运算(见等滑动率变位系数分配程序)。美国标准ANSI/AGMA 913-A98中,不仅有外啮合的等滑动率的计算,也有内啮合的计算,这样就弥补了内啮合变位分配问题 等滑动率变位系数分配程序如下 ∥齿廓数据索引号 int g_ iIndex=0; ∥迭代循环次数限定值 const int g_ iLoopTime=1000; ∥迭代循环精度值 const double g_ dLoopPrecision=1.0e-8; ∥计算在指定Z1,Z2,SX下当η相等的X1,X2,返回η相等时的值 ∥等滑动率变位系数分配计算 double GetShiftCoefficientYelta(doubled Z1,doubled Z2, ∥[IN] 1号齿轮和2号齿轮齿数 doubled SigmaX, ∥[IN] 总变位系数 double&dX1,double& dX2, ∥[OUT] 等滑动率下的两齿轮的变位系数 BOOL bInternalGear, ∥[IN] 是否为内啮合 BOOL* pbSuccess) ∥[OUT] 函数是否调用成功 { ∥使用1号齿轮齿廓数据 g_ iIndex=0; ∥求在1号齿轮当前齿数下,达到根切极限时的最小变位系数 double dXmin=GetCutterX(dZ1); ∥求在1号齿轮当前齿数和配对齿数下,达到顶切极限时的最大变位系数 double dXmax=GetSharpX(dZ1,dZ2,dSigmaX,TRUE,0.0,bInternalGear,NULL); ∥定义循环次数 int i=0; ∥定义1号齿和2号齿的滑动率及其差值的变量 doubledYelta1,dYelta2,dDelta; ∥以二分法给定1号齿轮的变位系数,求出两齿轮的滑动率,并以迭代方式求其滑动率差值在给定精度范围之内 ∥此时获得的两齿轮的变位系数即是等滑动率下的变位系数分配 do { ∥二分法给定1号齿轮变位系数 dX1=(dXmin+dXmax)/2.0; ∥根据总变位求得2号齿轮变位系数 dX2=dSigmaX+(bInternalGear?dX1:-dX1); ∥使用1号齿轮齿廓数据,计算1号齿轮滑动率 g_ iIndex=0; dYelta1=GetYelta(TRUE,dZ1,dZ2,dX1,dX2,FALSE); ∥使用2号齿轮齿廓数据,计算2号齿轮滑动率 g_ iIndex=1; dYelta2=GetYelta(FALSE,dZ1,dZ2,dX1,dX2,FALSE); ∥计算两滑动率的差值 dDelta=dYelta2-dYelta1; ∥根据滑动率差值,确定下一次循环时,1号齿轮变位系数取值范围 if(dDelta>0.0) dXmax=dX1; else dXmin=dX1; ∥如果循环次数超出限制(迭代不成功),或者滑动率差值在给定精度范围之内(迭代成功),推出循环 } while(i++<g_ iLoopTime && fabs(dDelta)>g_ dLoopPrecision); ∥如果循环次数超出限制,则标记迭代不成功 if(pbSuccess!=NULL) * pbSuccess=(i<g_ iLoopTime); ∥返回迭代后的等滑动率 returndYelta1; 这里有几个重要代号,SAP-LPSTC-HPSTC-EAP SAP---start of the active profile 齿廓啮合起始点 EAP---End of the active profile 齿廓啮合终止点 LPSTC(HPSTC)---The lowest and highest point of single-tooth-pair contact 单对齿啮合的内(外)界点 AGMA 913-A98给出了内、外齿轮副等滑动的条件,下面是外啮合的计算(参见图1) |
||
|
|
图1 AGMA 913-A97外齿轮副沿啮合线的几个特征点的距离 |
|
|
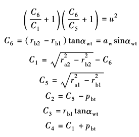
对AGMA 913-A98的算法与本手册增加的等滑动率方法,进行反复对比。结果两者在相同控制精度内是完全一样的(见图4)。外啮合确认了就扩展到内啮合。这就补充了国内没有等滑动的内啮合计算方法 下面就是内啮合的情况(见图2) |
||
|
|
|
|
|
图2 AGMA 913-A97内齿轮副沿啮合线的几个特征点间的距离 |
||
|
经过大量运算,作出图3 每一个u(z2/z1),从总变位-0.4开始到总变位3,每次按照0.05增量,计算出等滑动率的x1,用(Sx,x1)在图中描绘出一个点,每个u由70个点连接。连续作出全部规定的数值 同表选择变位系数的线图中图左侧图形比较,图3考虑了如下情况
图3 小齿轮z1=21对应各种齿数比等滑动率曲线,对于z±2也适用 1) 同样的齿数比u(z2/z1),对于不同的小齿数z1,左面曲线密集区位置(如图3中Sx0.8~Sx1.0之间)有很大变化。图3是按z1=21计算的 2) 对于一级(多级也是单个的组合)的u,规定如下:1.25、1.4、1.6、1.8、2.0、2.24、2.5、2.8、3.15、3.55、4.0、4.5、5.0、5.6、6.3、7.1 计算过程可以采用全部u,为了图形清晰有的u被忽略了 按照这个比值,u≥3,还有多个组别,图上的u=3.15为界限的图形 3) x1的比例,适当增大比例,可以看得清楚一些 即便是这样放大了的图形,对于Sx=0.5~1这个范围,还是很难获得准确的选择点,大多数情况又是这个范围(例如德国西马克就明文规定,这个范围就是他的设计规范) 为了等滑动系数分配,可以按z1=15~40,每个齿绘制一张上述的图片,这样才是等滑动系数分配。每张按照间隔齿数3,即z1=15、18、21、24、27、30、33、36、39、42做成10张上述图形,基本上也可以得到近似的分配,就如同封闭图那样,不过这个数量很少 美国ANSI/AGMA 913-A98将等滑动率计算和等闪温计算并列,说明两者对胶合计算还是有差别的。更详细的计算,请参阅有关标准
图4 外啮合的等滑动率计算与ANSI/AGMA 913-A98的比较
图5 ANSI/AGMA 913-A98 内啮合等滑动率的计算 |
||








