|
节距p≥9.52mm链轮的齿形尺寸以及直径尺寸、测量尺寸 |
||
|
|
||
|
名 称 |
单位 |
计 算 公 式 |
|
链轮节距p |
mm |
与配用链条相同 |
|
链轮齿数z |
由表齿形链传动计算内容和步骤确定 |
|
|
齿顶圆弧中心圆直径dE |
|
|
|
工作面的基圆直径dB |
|
|
|
分度圆直径d |
|
|
|
跨柱测量距MR |
偶数齿
奇数齿
|
|
|
跨柱直径dR |
|
|
|
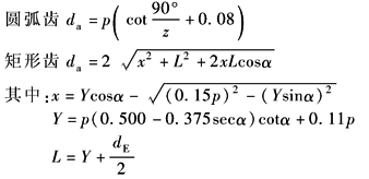
齿顶圆直径da |
|
|
|
导槽圆的最大直径dgmax |
|
|
|
齿形角α |
(°) |
|
|
注:1.链轮齿顶可以是圆弧形或者是矩形(车制)。 2.工作面以下的齿根部形状可随刀具形状有所不同。 3.表中主要公式数值由表节距p=1mm链轮的数表(表中数据为p=1mm的数据)换算。 |
||



