|
滚珠丝杠副的计算程序及计算实例 |
||||||||||||||||||||||||||||||||||||||||||||||||||||||||||||||||||
|
计算滚珠丝杠副尺寸之前,必须先弄清使用对象及工作条件(包括工作载荷、速度与加速度、工作行程、定位精度、运转条件、预期工作寿命、工作环境、润滑密封条件等),然后可按下列程序进行计算,程序各步骤计算所用公式汇编于表1中
表1所列的计算项目应根据滚珠丝杠副的使用场合有选择地进行。对无精确位移要求的传动用T类滚珠丝杠副按额定动载荷选择主要尺寸型号,当转速很低时则按额定静载荷选择主要尺寸型号,同时对受压丝杠进行压杠稳定性核算。对于有精确位移要求的定位用P类丝杠还要进行刚度计算、变形计算和预拉力计算 |
||||||||||||||||||||||||||||||||||||||||||||||||||||||||||||||||||
|
表1 滚珠丝杠副尺寸选择计算 |
||||||||||||||||||||||||||||||||||||||||||||||||||||||||||||||||||
|
计算项目 |
单位 |
计算公式 |
说明 |
|||||||||||||||||||||||||||||||||||||||||||||||||||||||||||||||
|
初算导程Ph |
mm |
Ph要符合表滚珠丝杠副的标准参数的值 |
υmax——丝杠副最大移动速度,mm/min nmax——丝杠副最大相对转速,r/min |
|||||||||||||||||||||||||||||||||||||||||||||||||||||||||||||||
|
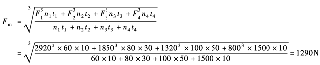
当量载荷Fm |
N |
当载荷在Fmin和Fmax之间近于正比例变化时
|
F1,F2,…——轴向变化载荷,N n1,n2,…——对应F1,F2,…时的转速,r/min t1,t2,…——对应F1,F2,…时的时间,h |
|||||||||||||||||||||||||||||||||||||||||||||||||||||||||||||||
|
当量转速nm |
r/min |
当转速在nmin和nmax之间近于正比例变化时
|
|
|||||||||||||||||||||||||||||||||||||||||||||||||||||||||||||||
|
额定动载荷计算Cam |
N |
有预加载荷时还要计算
选C'am与C"am中较大者为预期值Cam |
fa——精度系数,见表2 fc——可靠性系数,见表3 fw——载荷性质系数,见表4 Lh——预期工作寿命,h,见表6 Ls——预期工作距离,km fe——预加载荷系数,见表5 Fmax——最大轴向载荷,N |
|||||||||||||||||||||||||||||||||||||||||||||||||||||||||||||||
|
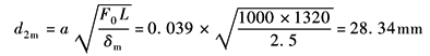
估算滚珠丝杠允许最大轴向变形δm |
μm |
取δ'm与δ"m中较小值为δm |
|
|||||||||||||||||||||||||||||||||||||||||||||||||||||||||||||||
|
估算滚珠丝杠底径d2m |
mm |
|
a——支承方式系数,一端固定另一端自由或游动时为0.078,两端固定或铰支时取0.039 F0——导轨静摩擦力,N μ0——导轨静摩擦因数 L——滚珠丝杠两轴承支点间距离,常取(1.1~1.2)行程+(10~14)Ph,mm W——导轨面正压力,N |
|||||||||||||||||||||||||||||||||||||||||||||||||||||||||||||||
|
确定滚珠丝杠副规格代号 |
|
按表滚珠丝杠副的结构及分类中表2及表3选定滚珠螺母型式,按上述估算的Ph、Cam及d2m值从表内循环滚珠丝杠副系列尺寸及性能参数摘编~表JBSX型行星滚柱丝杠副尺寸及性能参数中选出合适的规格代号及有关安装、连接尺寸,并使d2≥d2m,Ca≥Cam,但不宜过大,以免增加转动惯量及结构尺寸 |
||||||||||||||||||||||||||||||||||||||||||||||||||||||||||||||||
|
Dn值校验 |
mm·r/min |
Dpwnmax≤70000 (12) 对轧制丝杠 Dpwnmax≤50000 (12' ) |
Dpw——节圆直径,Dpw≈d2+Dw,mm nmax——滚珠丝杠副最高转速,r/min |
|||||||||||||||||||||||||||||||||||||||||||||||||||||||||||||||
|
计算预紧力Fp |
N |
当最大轴向工作载荷Fmax能确定时
当最大轴向工作载荷Fmax不能确定时
|
b——系数,轻载荷取0.05,中载荷取0.075,重载荷取0.10 |
|||||||||||||||||||||||||||||||||||||||||||||||||||||||||||||||
|
行程补偿值C |
μm |
|
Δt——温度变化值,2~3℃ lu——滚珠丝杠副有效行程,常取行程+(8~14)Ph,mm |
|||||||||||||||||||||||||||||||||||||||||||||||||||||||||||||||
|
预拉伸力Ft |
N |
|
d2——丝杠螺纹底径,mm |
|||||||||||||||||||||||||||||||||||||||||||||||||||||||||||||||
|
滚动轴承型号选择计算 |
|
参阅本手册滚动轴承部分并绘制滚珠丝杠副工作图 |
|
|||||||||||||||||||||||||||||||||||||||||||||||||||||||||||||||
|
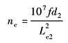
滚珠丝杠副临界转速nc计算 |
r/min |
|
f——支承系数,见表8 Lc2——临界转速计算长度,见表8 |
|||||||||||||||||||||||||||||||||||||||||||||||||||||||||||||||
|
滚珠丝杠压杆稳定性Fc验算 |
N |
|
Fc——临界压缩载荷,N K1——安全系数,丝杠垂直安装取1/2,丝杠水平安装取1/3 K2——支承系数,见表8 Lc1——丝杠最大受压长度,见表8 F'amax——滚珠丝杠副所受最大轴向压缩载荷,N |
|||||||||||||||||||||||||||||||||||||||||||||||||||||||||||||||
|
额定静载荷Coa验算 |
N |
|
Coa——滚珠丝杠副基本轴向额定静载荷,N,见表内循环滚珠丝杠副系列尺寸及性能参数摘编~表JBSX型行星滚柱丝杠副尺寸及性能参数 fs——静态安全系数,一般取1~2,有冲击及振动时取2~3 Famax——滚珠丝杠副最大轴向载荷,N |
|||||||||||||||||||||||||||||||||||||||||||||||||||||||||||||||
|
丝杠轴拉压强度验算 |
|
|
σp——丝杠轴许用拉压应力,MPa |
|||||||||||||||||||||||||||||||||||||||||||||||||||||||||||||||
|
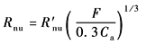
系统刚度验算及精度选择 |
N/μm |
对不预紧丝杠副,轴向载荷为F时
对预紧载荷为Fp的丝杠副
|
Rs——滚珠丝杠副的拉压刚度,N/μm Rb——轴承刚度,N/μm,见表7 R'nu——轴向接触刚度,N/μm,见表内循环滚珠丝杠副系列尺寸及性能参数摘编~表外循环插管凸出式大型重载滚珠丝杠副尺寸及性能参数 a——滚珠螺母中点至轴承支点距离,mm L——两支承间的距离,mm Ca——额定动载荷,N,见表内循环滚珠丝杠副系列尺寸及性能参数摘编~表JBSX型行星滚柱丝杠副尺寸及性能参数(各厂家样本所示符号有所不同) 精度选择参见表精度等级选用推荐 |
|||||||||||||||||||||||||||||||||||||||||||||||||||||||||||||||
|
注:1.滚动丝杠副的形位公差参见表跳动和位置公差。 2.对于数控机床上使用的滚珠丝杠副和用微电机控制的检测装置等还要进行驱动转矩的计算。在数控机床中,进给系统的驱动转矩由以下三个方面组成:负载转矩,承载外部载荷所需的转矩;惯性转矩,克服大小齿轮、滚珠丝杠副工作台(包括工件在内)的惯性所需的转矩;摩擦转矩,克服双螺母滚珠丝杠副因预紧力而产生的内部摩擦阻力所需的转矩。 3.对于运转速度较高、支承间距较大的滚珠丝杠副应进行临界转速计算。 |
||||||||||||||||||||||||||||||||||||||||||||||||||||||||||||||||||
|
表2 精度系数fa |
||||||||||||||||||||||||||||||||||||||||||||||||||||||||||||||||||
|
精度等级 |
1,2,3 |
4,5 |
7 |
10 |
||||||||||||||||||||||||||||||||||||||||||||||||||||||||||||||
|
fa |
1.0 |
0.9 |
0.8 |
0.7 |
||||||||||||||||||||||||||||||||||||||||||||||||||||||||||||||
|
表3 可靠性系数fc |
||||||||||||||||||||||||||||||||||||||||||||||||||||||||||||||||||
|
可靠性/% |
90 |
95 |
96 |
97 |
98 |
99 |
||||||||||||||||||||||||||||||||||||||||||||||||||||||||||||
|
fc |
1 |
0.62 |
0.53 |
0.44 |
0.33 |
0.21 |
||||||||||||||||||||||||||||||||||||||||||||||||||||||||||||
|
表4 载荷性质系数fw |
||||||||||||||||||||||||||||||||||||||||||||||||||||||||||||||||||
|
载荷性质 |
无冲击(很平稳) |
轻微冲击 |
伴有冲击或振动 |
|||||||||||||||||||||||||||||||||||||||||||||||||||||||||||||||
|
fw |
1~1.2 |
1.2~1.5 |
1.5~2 |
|||||||||||||||||||||||||||||||||||||||||||||||||||||||||||||||
|
表5 预加载荷系数fe |
|
|||||||||||||||||||||||||||||||||||||||||||||||||||||||||||||||||
|
预加载荷类型 |
轻预载 |
中预载 |
重预载 |
|
||||||||||||||||||||||||||||||||||||||||||||||||||||||||||||||
|
fe |
6.7 |
4.5 |
3.4 |
|
||||||||||||||||||||||||||||||||||||||||||||||||||||||||||||||
|
表6 各类机械预期工作寿命Lh h |
|
|||||||||||||||||||||||||||||||||||||||||||||||||||||||||||||||||
|
普通机械 |
5000~10000 |
精密机床 |
20000 |
|
||||||||||||||||||||||||||||||||||||||||||||||||||||||||||||||
|
普通机床 |
10000~20000 |
测试机械 |
15000 |
|
||||||||||||||||||||||||||||||||||||||||||||||||||||||||||||||
|
数控机床 |
20000 |
航空机械 |
1000 |
|
||||||||||||||||||||||||||||||||||||||||||||||||||||||||||||||
|
表7 RB、RB0、Rb值确定 |
|
|||||||||||||||||||||||||||||||||||||||||||||||||||||||||||||||||
|
轴承类型 |
RB/N·μm-1 |
RB0/N·μm-1 |
公式应用条件为: 球轴承的预紧力 滚子轴承的预紧力 β——轴承接触角,(°) dQ——滚动体直径,mm Lr——滚子的有效长度,mm Z——滚动体个数 Fa——轴向工作载荷,N Famax——最大轴向工作载荷,N |
|
||||||||||||||||||||||||||||||||||||||||||||||||||||||||||||||
|
角接触球轴承 |
|
|
|
|||||||||||||||||||||||||||||||||||||||||||||||||||||||||||||||
|
推力球轴承 |
|
|
|
|||||||||||||||||||||||||||||||||||||||||||||||||||||||||||||||
|
圆锥滚子轴承 |
|
|
|
|||||||||||||||||||||||||||||||||||||||||||||||||||||||||||||||
|
推力圆柱滚子轴承 |
|
|
|
|||||||||||||||||||||||||||||||||||||||||||||||||||||||||||||||
|
Rb值的确定方法 |
一端固定,一端游动 |
固定端预紧Rb=RB0 |
一端固定,一端自由 |
Rb=RB0 |
|
|||||||||||||||||||||||||||||||||||||||||||||||||||||||||||||
|
两端固定 |
固定端顶紧Rb=2RB0 |
两端铰支 |
预紧Rb=RB0 未预紧Rb=RB |
|
||||||||||||||||||||||||||||||||||||||||||||||||||||||||||||||
|
表8 支承系数K2、f |
|
|||||||||||||||||||||||||||||||||||||||||||||||||||||||||||||||||
|
支承方式 |
简图 |
K2 |
f |
|
||||||||||||||||||||||||||||||||||||||||||||||||||||||||||||||
|
一端固定 一端自由 |
|
0.25 |
3.4 |
|
||||||||||||||||||||||||||||||||||||||||||||||||||||||||||||||
|
一端固定 一端铰支 |
|
2 |
15.1 |
|
||||||||||||||||||||||||||||||||||||||||||||||||||||||||||||||
|
两端铰支 |
|
1 |
9.7 |
|
||||||||||||||||||||||||||||||||||||||||||||||||||||||||||||||
|
两端固定 |
|
4 |
21.9 |
|
||||||||||||||||||||||||||||||||||||||||||||||||||||||||||||||
|
例 某台加工中心工作台(见图1)进给用滚珠丝杠副的设计计算。已知工件台重量W1=5000N,工件及夹具最大重量W2=3000N,工作台最大行程LK=1000mm;工作台导轨的动摩擦因数μ=0.1、静摩擦因数μ0=0.2,快速进给速度υmax=15m/min,定位精度20μm/300mm,全行程定位精度25μm,重复定位精度10μm,要求寿命20000h(两班制工作十年),可靠度97%。其他状况如下:
图 1 (1)确定滚珠丝杠副的导程Ph 由表1中式(1)
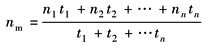
按表滚珠丝杠副的标准参数,取Ph=10mm (2)确定当量载荷Fm与当量转速nm 仍由表1中式(1)可得
υ1=0.6m/min则n1=60r/min;υ2=0.8m/min,则n2=80r/min;υ3=1m/min,则n3=100r/min;υ4=υmax=15m/min,n4=nmax=1500r/min 各种切削方式下,丝杠的轴向载荷Fi=Pxi+μ(W1+W2+Pzi),则有
由此代入表1中式(2)可得当量载荷
代入表1中式(4)可得当量转速
(3)确定预期额定动载荷Cam 先按Lh要求用表1中式(5)计算,轻微冲击按表4取fw=1.3,1~3级精度由表2取fa=1.0,可靠度97%按表3取fc=0.44,则
拟采用中预紧丝杠,由表5取fe=4.5,按最大载荷Fmax计算,由表1中式(7)可得
取C'am与C"am较大值,则Cam=24.815kN (4)确定允许的最小螺纹底径d2m 估算丝杠允许的最大轴向变形量δm: 由表1中式(8) 由表1中式(9) 取两结果最小值δm=2.5μm 按表1中式(11)F0=μ0W=μ0W1=0.2×5000=1000N(按无工件空载启动检验精度) L=行程LK+安全行程(2~4)Ph+两个余程+螺母长+一个支承长 =1000+(20~40)+2×40+146+69=1315~1335mm 可取L=1320mm 丝杠要求预拉伸,取两端固定的支承形式Q=0.039代入表1中式(10)
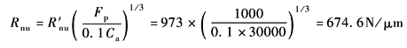
(5)确定滚珠丝杠副的规格代号 选内循环浮动法兰式、直筒双螺母垫片预紧FFZD型4010-3。由表内循环滚珠丝杠副系列尺寸及性能参数摘编知d0=40mm,d2=34.3mm>d2m=28.34mm,Ca=30kN>Cam=24.815kN,Coa=66.3kN,Dw=7.144mm,R'nu=973N/μm。由表内循环滚珠丝杠副系列尺寸及性能参数摘编中查出螺母长为146mm,同时选定JB/T 3162推荐的固定轴端型式,d0=40mm,采用一对760306DF推力角接触球轴承,从表公称直径16~63mm的滚珠丝杠固定式轴端型式及尺寸中可查出一个支承长为69mm (6)Dn值校验 按表1中式(12)
合格 (7)确定滚珠丝杠副预紧力Fp 按表1中式(13)
取Fp=1000N (8)计算行程补偿值C 按表1中式(14),Δt取2.5℃,lu=LK+(8~14)Ph=1000+(80~140)=1080~1140mm,取1140mm,则
(9)计算预拉伸力Ft 由表1中式(15)
(10)滚动轴承型号选择计算 本例已选JB/T 3162 推荐的760306DF轴承,其寿命核算要先对轴承进行受力分析,再参考本手册滚动轴承部分进行动载及静载核算(略) (11)工作图设计 略,参见图2
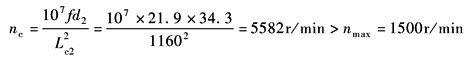
图2 (12)滚珠丝杠副临界转速nc的计算 按表1中式(16),f=21.9(表8),
合格 (13)滚珠丝杠压杆稳定性验算 因本例最大轴向载荷Pxmax=2000N小于丝杠之预拉伸力Ft=5735N,丝杠不会受压失稳,不用验算 按表1中式(19)验算抗拉强度
远低于钢材许用拉应力 (14)系统刚度验算及粒度选择(对两端固定支承) ①
滚珠丝杠的拉压刚度是随螺母在丝杠上的位置而变化的,最大值在端部(螺母至固定支承距离最大时,即 由表1中式(21' )
② 支承轴承的组合刚度:由轴承样本dQ=7.144mm,Z=17,β=60°等资料得RB0=670N/μm。由表7,对两端固定并预紧的轴承Rb=2RB0=2×670=1340N/μm ③ 滚珠丝杠副滚珠和滚道的接触刚度按表1中式(22' )
④ 由表1中式(20)可得R的最大与最小值如下:
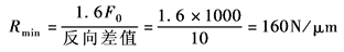
⑤ 传动系统的最小刚度(空载运转时):静摩擦力F0已由第(5)步算出为1000N,重复定位精度即反向差值,为10μm,则
Rmin=254>160,满足重复定位要求 ⑥ 传动系统的定位误差:
任意300mm内行程变动量对半闭环系统而言
选丝杠副为3级精度V300p=12μm<15.02μm,可用 (15)最终确定滚珠丝杠副的规定代号:FFZD型,d0=40mm,Ph=10mm,P类3级精度,标记为FFZD4010-3-P3 参考图2绘出正式工作图向厂方订货 滚珠丝杠的直径、导程和预紧力的大小与丝杠副的特性如寿命、位移精度、刚度、驱动转矩等有密切的关系。因此在选择滚珠丝杠的主要尺寸参数时,应全面照顾,以满足设备使用要求。如果某一方面的特性不能满足时,可以重新挑选丝杠直径和导程,直到完全满足。可参阅表9选择 |
|
|||||||||||||||||||||||||||||||||||||||||||||||||||||||||||||||||
|
表9 滚珠丝杠主要尺寸参数与特性间的综合关系 |
|
|||||||||||||||||||||||||||||||||||||||||||||||||||||||||||||||||
|
主要尺寸参数 |
刚度 |
位移精度 |
惯量 |
驱动转矩 |
寿命 |
|
||||||||||||||||||||||||||||||||||||||||||||||||||||||||||||
|
丝杠直径 |
增大 减小 |
增大 减小 |
— — |
增大 减小 |
增大 减小 |
— — |
|
|||||||||||||||||||||||||||||||||||||||||||||||||||||||||||
|
导程 |
增大 减小 |
增大 减小 |
降低 增高 |
减小(转速降低) 增大(转速增高) |
增大 减小 |
增高 降低 |
|
|||||||||||||||||||||||||||||||||||||||||||||||||||||||||||
|
预紧力 |
增大 减小 |
增大 减小 |
增高 降低 |
— — |
增大 减小 |
降低 增高 |
|
|||||||||||||||||||||||||||||||||||||||||||||||||||||||||||
|
值得注意的是,滚珠丝杠副的传动质量可通过增加滚珠螺母负载滚珠有效圈数来提高。例如,滚珠螺母负载滚珠有效圈数由3圈变为5圈,则滚珠丝杠副的刚度和动载荷可提高1.4~1.6倍。在耐磨性、精度同时提高的情况下,滚珠丝杠副的寿命提高4~6倍 在刚度要求不高的情况下,滚珠丝杠副中螺母选用尽可能多的负载滚珠有效圈数,可以减小丝杠的直径,从而提高进给传动的动作速度(因为丝杠的惯性力矩与d4成正比)和降低材料消耗 |
|
|||||||||||||||||||||||||||||||||||||||||||||||||||||||||||||||||



























