|
计算实例 |
|
|
例1 试验算下图所示的摇臂钻床升降螺杆。已知螺杆承受的最大轴向载荷F=30kN,螺杆为单头梯形螺纹,大径d=40mm,中径d2=37mm,小径d3=33mm,螺距P=6mm,螺杆材料为45钢,螺母材料为铸造青铜ZCuSn5Pb5Zn5,整体式,高度H=90mm (1)螺杆的耐磨性验算 H1=0.5P=0.5×6=3mm,n=H/P=90/6=15,由表滑动螺旋传动计算中式(3)得工作压强: |
|
|
|
考虑螺杆的升降速度小于0.1~0.2m/s挡,并且不是连续工作,由表材料与许用应力中表2取pp=7MPa,可见p<pp (2)螺纹的强度校核 根据螺母的材料查表材料与许用应力中表3,取τp=35MPa,σbp=50MPa b=0.65p=0.65×6=3.9mm,D4=d+2ac≈d=40mm,螺母螺纹的剪切应力由表滑动螺旋传动计算进行验算:
|
|
螺母螺纹的弯曲应力由表滑动螺旋传动计算进行验算:
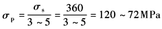
验算结果:p<pp,τ<τp,σb<σbp,螺纹强度足够(螺杆为钢材,其螺纹强度较高不用核算) 由于螺杆承受拉伸载荷,故不必进行稳定性计算 例2 设计一千斤顶,最大起重量为100kN,最大起重高度为200mm,采用单头梯形螺纹,螺旋应有自锁性 (1)选择材料和许用应力 螺杆材料选45钢,调质处理,σs=360MPa,由表材料与许用应力中表3可得 螺母材料选ZCuAl10Fe3。由表材料与许用应力中表3可得σbp=40~60MPa,取50MPa;τp=30~40MPa,取35MPa 千斤顶螺旋系手动低速,由表材料与许用应力中表2查得pp=18~25MPa,取20MPa (2)按耐磨性计算螺纹中径 由表滑动螺旋传动计算中公式(1),取ψ=1.7, 由GB/T 5796.3—1986(见第2卷)可选d=48mm、P=8mm、d2=44mm、D4=49mm、d3=39mm、D1=40mm的梯形螺纹,中等精度,螺旋副标记为Tr48×8-7H/7e 螺母高度H=ψd2=1.7×44=74.8mm,取H=75mm,则螺纹圈数n=H/P=75/8=9.38 (3)自锁性验算 由于为单头螺纹,导程S=P=8mm,故螺纹升角为
由表摩擦因数f值钢对青铜f=0.08~0.10,取0.09,可得
λ<ρ',故自锁可靠 (4)螺杆强度验算 由表螺旋传动的运动及功率计算,螺纹摩擦力矩
(5)螺母螺纹强度验算 因螺母材料强度低于螺杆,故只验算螺母螺纹强度即可 由表滑动螺旋传动计算得,牙根宽度b=0.65P=0.65×8=5.2mm,基本牙型高H1=0.5P=0.5×8=4mm。代入表滑动螺旋传动计算中的式(7)及式(8)有
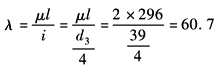
(6)螺杆的稳定性验算 由表结构中图2a得,千斤顶螺杆上部安装手柄处的高h1=(1.8~2)d=(1.8~2)×48=86.4~96mm,取96mm,螺杆最大工作长度l应为最大起重高加h1,故l=200+96=296mm 按一端固定一端自由从表系数μ和μ1可得μ=2。由表滑动螺旋传动计算, 对45钢,a=461MPa,b=2.568MPa,λ1=100,λ2=60 本例λ2<λ<λ1,为中等柔度杆,其临界载荷为
(7)千斤顶效率计算 由表滑动螺旋传动计算中式(10)并视托杯与螺杆顶部为滑动推力轴承,效率为0.95时,有
因系手动千斤顶,故螺杆的刚度及横向振动不予验算 |
|









