|
压力弹簧管计算示例 |
|||
|
例 求承受压力p=0.412MPa的扁圆截面弹簧管的位移、最大应力、牵引力矩、牵引力。尺寸为a=10.39mm,b=3.18mm,h=0.53mm,R=52.3mm,γ=241°,材料为QSn4-3,其弹性模量E=107800MPa |
|||
|
项目 |
单位 |
公式及数据 |
|
|
确定系数k1~k5 |
|
根据图1查得:k1=0.111,k2=0.426,k3=1.26,k4=0.444,k5=1.51 |
|
|
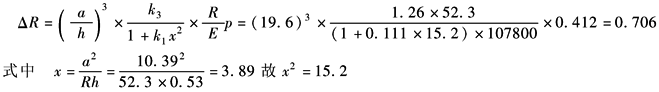
曲率半径增量ΔR |
mm |
|
|
|
管端位移量λ |
mm |
根据图2查得
所以λ=5.3ΔR=5.3×0.706=3.74 查图3得管端位移方向角ψ,ψ=16° |
|
|
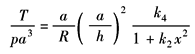
牵引力矩T |
N·mm |
|
|
|
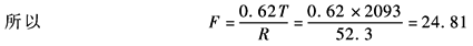
管端牵引力F |
N |
根据图4查得γ=241°时
|
|
|
最大应力σmax |
MPa |
|
|
|
图1 扁圆截面的k1~k5值 |
|||
|
图2 |
图3 ψ1与γ的关系
图4 |
||








