|
压力弹簧管计算公式 |
|||
|
|
|||
|
项目 |
单位 |
公式及数据 |
|
|
曲率半径增量ΔR |
mm |
|
|
|
牵引力矩T |
N·mm |
|
|
|
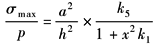
最大应力σmax |
MPa |
|
|
|
管端牵引力F |
N |
|
|
|
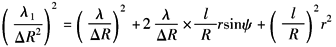
管端位移量λ、λ1 |
mm |
|
|
|
管端位移方向角ψ、ψ1 |
(°) |
|
|
|
附注 |
R——弹簧管的曲率半径,mm E——弹性模量,MPa p——工作压力,MPa a——截面长半径,mm b——截面短半径,mm x——主参数,x=a2/(Rh) h——壁厚,mm k1、k2、k3、k4、k5——取决于截面形状和 γ——压力弹簧管的中心角,(°) λ——C形管端位移量,mm λ1——直尾管端位移量,mm ψ——位移方向与弹簧管圆弧切线方向的夹角,(°) φ——位移方向与连杆(与使用仪表连接的连杆,图中未示出)方向的夹角,(°) ψ1——直尾管末端位移方向与直尾杆轴线间夹角,(°) l——自由端直尾杆长度,mm k0——取决于r的系数 |
||
|
图1 近似椭圆截面的k1~k5值
图2 扁圆截面的k1~k5值 |
|||





