|
小位移平膜片的计算公式 |
||||
|
小位移平膜片是指其刚性工作中心位移量远小于自身厚度的薄片,它常应用于力平衡式仪表和应变式的传感器中。周边刚性固定小位移平膜片计算公式列于下表 |
||||
|
项目 |
单位 |
公 式 及 数 据 |
||
|
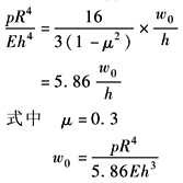
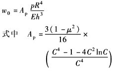
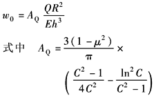
位移w0 |
mm |
无硬心,受均布力
|
有硬心,受均布力
|
有硬心,受集中力
|
|
|
|
|
||
|
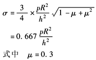
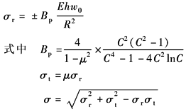
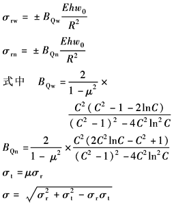
最大应力σ |
MPa |
|
|
|
|
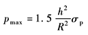
最大允许载荷pmax或Q |
MPa 或N |
|
有硬心,受均布力p和集中力Q,将位移公式代入应力公式,并使σ=σp,即可求出 |
|
|
最大允许位移wmax |
mm |
|
有硬心,受均布力p和集中力Q,将pmax或Qmax代入位移方程,即可求得 |
|
|
有效面积Fe |
mm2 |
|
||
|
备注 |
p——作用于膜片上的压力,MPa;R——膜片工作半径,mm;h——膜片厚度,mm;E——弹性模量,MPa;μ——泊松比,μ=0.3;C——系数,C=R/r0;r0——硬心半径,mm;Q——作用于膜片中心的集中力,N;σr——径向应力,MPa;σt——切向应力,MPa;σrw——外表面径向应力,MPa;σrn——内表面径向应力,MPa;σp——许用应力,MPa;D——膜片工作直径,mm;d——硬心直径,mm |
|||










