|
橡胶弹簧的计算示例 |
|||
|
计算矿车轴箱用人字形橡胶组合弹簧,其结构尺寸及载荷如下图所示。弹簧计算见下表
人字形橡胶组合弹簧结构 |
|||
|
项目 |
单位 |
公式及数据 |
|
|
原 始 条 件 |
静载荷P |
N |
50000 |
|
承载面积AL |
mm2 |
|
|
|
一层橡胶高度h |
mm |
24 |
|
|
橡胶硬度 |
HS |
60 |
|
|
安装角α |
(°) |
15 |
|
|
橡胶宽度a |
mm |
143 |
|
|
橡胶长度b |
mm |
250 |
|
|
计 算 项 目 |
自由面积AF |
mm2 |
|
|
面积比S |
|
|
|
|
表征几何形状影响系数i |
|
|
|
|
切变模量G |
MPa |
由硬度HS查表橡胶弹簧材料中图3,取G近似值为0.9 |
|
|
表观弹性模量Ea |
MPa |
|
|
|
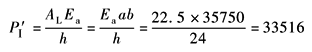
一层橡胶的压缩刚度P'Ⅰ |
N/mm |
|
|
|
三层橡胶串联的压缩刚度P'Ⅲ |
N/mm |
|
|
|
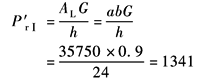
一层橡胶的剪切刚度P'rⅠ |
N/mm |
|
|
|
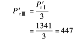
三层橡胶串联的剪切刚度P'rⅢ |
N/mm |
|
|
|
两个弹簧按30°角组成人字形的橡胶弹簧的垂直总刚度P' |
N/mm |
因为表橡胶组合弹簧计算公式所列的复合式(人字形)橡胶弹簧的计算公式是一层橡胶的公式。如为三层橡胶时(即串联方式),其刚度公式为
|
|
|
静变形f |
mm |
|
|
|
压缩方向的变形f⊥ |
mm |
|
|
|
剪切方向的变形f∥ |
mm |
||
|
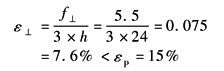
压缩方向的应变ε⊥ |
% |
|
|
|
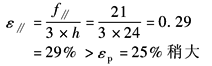
剪切方向的应变ε∥ |
% |
|
|
|
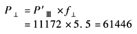
压缩方向的力P⊥ |
N |
|
|
|
剪切方向的力P∥ |
N |
|
|
|
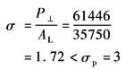
压应力σ |
MPa |
|
|
|
剪应力τ |
MPa |
故满足设计要求 |
|
|
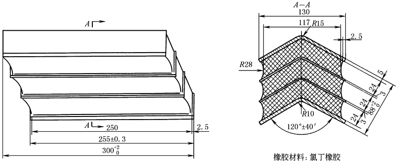
工 作 图 |
|
||
|
技术条件如下 ① 橡胶表面不许有损伤、缺陷,粘接处不许有脱胶现象 ② 橡胶与钢板粘接处应有圆角过渡,R=3~5mm ③ 橡胶与钢板连接处强度不小于3MPa ④ 弹簧工作温度:-30~45℃ ⑤ 橡胶常温性能应满足:抗拉强度不小于20MPa,邵尔硬度60HS,耐老化、抗蠕变性能良好,耐油性能好 ⑥ 单个弹簧的压缩静刚度P'=11172N/mm,剪切静刚度P'rⅢ=447N/mm,两个弹簧成30°角安装后组合静刚度P'=2321N/mm(F力方向),最大载荷50000N时静变形量f=21.5mm,刚度允许误差+20%。首先应保证刚度要求,如不满足要求时,可适当调整橡胶硬度 ⑦ 应保证外形尺寸和稳定的制造质量,产品出厂应有合格证 ⑧ 弹簧应做疲劳强度试验,使寿命不低于三 |
|||















