|
扭杆弹簧计算示例 |
||
|
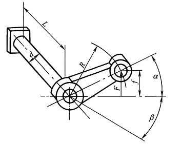
设计一悬挂装置用转臂与圆形截面扭杆组成的扭杆弹簧。其常用工作载荷为P=2000N,转臂长度R=300mm,常用工作载荷作用点与水平位置的距离f=-20mm,最大变形时fmax=80mm,常用工作载荷作用下扭杆的自振频率υ=66.5min-1。所用计算符号参见下图
悬架装置扭杆弹簧机构图 |
||
|
项目 |
单位 |
公式及数据 |
|
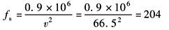
常用工作载荷作用下扭杆的线性静变形fs |
mm |
|
|
常用工作载荷作用点的扭杆刚度P' |
N/mm |
|
|
计算C3值 |
|
|
|
计算β角 |
(°) |
|
|
计算C2值 |
|
查表扭杆弹簧的计算公式中图3 得C2=0.95 |
|
扭杆的扭角刚度 |
N·mm/(°) |
|
|
转臂在最大变形时的夹角αmax |
(°) |
|
|
扭杆的最大扭转角φmax |
(°) |
|
|
扭杆的最大扭矩Tmax |
N·mm |
|
|
扭杆直径d |
mm |
|
|
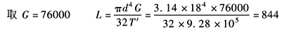
扭杆的所需有效长度L |
mm |
|

