|
螺旋形发条弹簧计算示例 |
|||
|
设计一储能用螺旋形发条弹簧,要求最小输出力矩Tsmin=840N·mm,最大输出力矩Tsmax=1680N·mm,工作圈数ng=8圈。材料为Ⅱ级热处理弹簧钢带,其硬度不小于48~55HRC,外端为V形固定 |
|||
|
项目 |
单位 |
公式及数据 |
|
|
最大理论力矩Tmax |
N·mm |
|
|
|
发条弹簧厚度h |
mm |
取发条宽度b=14mm 查表发条弹簧材料中表4,σb=1863MPa
|
|
|
发条弹簧轴半径r |
mm |
取m=15 r=mh=15×0.6=9 |
|
|
发条弹簧带的工作长度Lg |
mm |
|
|
|
发条弹簧内端退火部分长度Ln |
mm |
|
|
|
发条弹簧外端退火部分长度Lw |
mm |
|
|
|
发条弹簧带总长度L |
mm |
|
|
|
条盒内半径R |
mm |
|
|
|
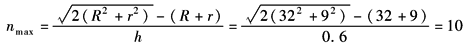
发条弹簧最大圈数nmax |
圈 |
|
|
|
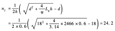
发条弹簧上紧时的圈数nj |
圈 |
|
|
|
发条弹簧从自由状态至上紧时的圈n |
圈 |
|
|
|
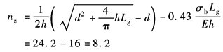
发条弹簧自由状态时的圈数nz |
圈 |
|
|
|
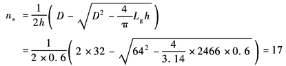
发条弹簧放松时的圈数ns |
圈 |
|
|
|
工作图 |
技术要求 1.材料为Ⅱ级强度热处理钢带,48~55HRC 2.弹簧自由状态时圈数nz=8.2圈 3.弹簧的工作圈数ng=8圈 4.弹簧带总长度L=2594mm 5.表面处理:氧化后涂防锈油 |
||






