|
装配后板弹簧总成弧高及曲率半径的计算 |
||||||||||||||
|
片 号 k |
Ik |
∑Ik |
lk |
|
|
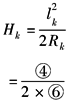
Rk |
|
|
|
|
|
|
|
|
|
|
/cm4 |
/cm4 |
/cm |
/cm2 |
/cm3 |
/cm |
/cm |
/cm |
/cm |
|
/cm |
|
/cm |
/cm |
|
|
① |
② |
③ |
④ |
⑤ |
⑥ |
⑦ |
⑧ |
⑨ |
⑩ |
|
|
|
|
|
1 |
0.608 |
0.608 |
60.5 |
3660 |
221445 |
260 |
7.04 |
7.04 |
0 |
1.000 |
0 |
1 |
7.04 |
260 |
|
2 |
0.427 |
1.035 |
60.5 |
3660 |
221445 |
230 |
7.96 |
7.04 |
0.92 |
0.412 |
0.379 |
1 |
7.42 |
246 |
|
3 |
0.427 |
1.462 |
60.5 |
3660 |
221445 |
200 |
9.15 |
7.45 |
1.70 |
0.292 |
0.496 |
1 |
7.92 |
231 |
|
4 |
0.427 |
1.889 |
55.5 |
3080 |
170954 |
174 |
8.85 |
6.67 |
2.18 |
0.226 |
0.493 |
1.13 |
8.48 |
215 |
|
5 |
0.427 |
2.316 |
50.7 |
2570 |
130324 |
151 |
8.51 |
5.98 |
2.53 |
0.184 |
0.466 |
1.29 |
9.08 |
199 |
|
6 |
0.427 |
2.743 |
45.9 |
2107 |
96703 |
135 |
7.80 |
5.29 |
2.51 |
0.155 |
0.389 |
1.48 |
9.66 |
185 |
|
7 |
0.229 |
2.972 |
41.1 |
1689 |
69427 |
120 |
7.03 |
4.56 |
2.47 |
0.077 |
0.190 |
1.71 |
9.98 |
178 |
|
8 |
0.229 |
3.201 |
36.3 |
1318 |
47832 |
110 |
5.99 |
3.70 |
2.29 |
0.072 |
0.165 |
2.00 |
10.31 |
170 |
|
9 |
0.229 |
3.430 |
31.5 |
992 |
31256 |
102 |
4.86 |
2.92 |
1.94 |
0.067 |
0.130 |
2.38 |
10.62 |
163 |
|
10 |
0.229 |
3.659 |
26.7 |
713 |
19034 |
98 |
3.64 |
2.19 |
1.45 |
0.063 |
0.091 |
2.90 |
10.88 |
156 |
|
11 |
0.229 |
3.888 |
21.9 |
480 |
10503 |
95 |
2.53 |
1.54 |
0.99 |
0.059 |
0.058 |
3.64 |
11.09 |
150 |
|
12 |
0.229 |
4.117 |
17.1 |
292 |
5000 |
95 |
1.54 |
0.97 |
0.57 |
0.056 |
0.032 |
4.81 |
11.24 |
145 |
|
13 |
0.229 |
4.346 |
12.3 |
151 |
1861 |
95 |
0.80 |
0.52 |
0.28 |
0.053 |
0.015 |
6.88 |
11.34 |
141 |








