|
叶片长度的计算 |
|||||||||||||
|
片 号 k |
片厚 hk /cm |
|
|
|
|
|
|
|
|
|
|
|
实际 长度 之半 lk /cm |
|
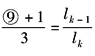
① |
② |
③ |
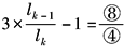
④ |
⑤ |
⑥ |
⑦ |
⑧ |
⑨ |
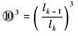
⑩ |
|
|
|
|
|
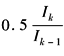
1 |
0.9 |
0.6080 |
|
|
|
|
|
|
|
|
57.5 |
60.5 |
60.5 |
|
2 |
0.8 |
0.4266 |
|
|
|
|
|
|
|
|
57.5 |
60.5 |
60.5 |
|
3 |
0.8 |
0.4266 |
|
|
|
|
|
|
|
|
57.5 |
60.5 |
60.5 |
|
4 |
0.8 |
0.4266 |
0.5 |
2 |
0.5/1.545 =0.324 |
0.324/2.468 =0.800 |
1.200 |
2.400 |
1.133 |
1.454 |
57.5/1.133 =50.75 |
53.75 |
55.5 |
|
5 |
0.8 |
0.4266 |
0.5 |
2 |
0.299 |
0.766 |
1.234 |
2.468 |
1.156 |
1.545 |
43.9 |
46.9 |
50.7 |
|
6 |
0.8 |
0.4266 |
0.5 |
2 |
0.266 |
0.719 |
1.281 |
2.562 |
1.187 |
1.672 |
37.0 |
40.0 |
45.9 |
|
7 |
0.65 |
0.2290 |
0.2684 |
1.5368 |
0.333 |
0.8112 |
0.7256 |
2.703 |
1.234 |
1.879 |
30.0 |
33.0 |
41.1 |
|
8 |
0.65 |
0.2290 |
0.5 |
2 |
0.312 |
0.782 |
1.218 |
2.436 |
1.145 |
1.501 |
26.2 |
29.2 |
36.3 |
|
9 |
0.65 |
0.2290 |
0.5 |
2 |
0.283 |
0.744 |
1.256 |
2.512 |
1.171 |
1.606 |
22.4 |
25.4 |
31.5 |
|
10 |
0.65 |
0.2290 |
0.5 |
2 |
0.244 |
0.686 |
1.314 |
2.628 |
1.200 |
1.767 |
18.5 |
21.5 |
26.7 |
|
11 |
0.65 |
0.2290 |
0.5 |
2 |
0.190 |
0.596 |
1.404 |
2.808 |
1.270 |
2.048 |
14.6 |
17.6 |
21.9 |
|
12 |
0.65 |
0.2290 |
0.5 |
2 |
0.5/4.632 =0.108 |
0.108×4 =0.432 |
1.568 |
3.136 |
1.380 |
2.628 |
10.6 |
13.6 |
17.1 |
|
13 |
0.65 |
0.2290 |
0.5 |
2 |
0 |
0 |
2 |
4 |
1.667 |
4.632 |
6.4 |
9.4 |
12.3 |
|
① 因非压延,故方括号不计算。 |
|||||||||||||









