|
叶片厚度、宽度及数目的计算 |
||||
|
项目 |
单位 |
公式及数据 |
||
|
弹簧叶片材料 |
|
选择60Si2MnA |
||
|
许用弯曲应力σp |
MPa |
由表许用弯曲应力选定 σp=588 |
||
|
挠度增大系数δ |
|
由表叶片厚度、宽度及数目的计算中表2选定 δ=1.3 |
||
|
主片厚度h |
cm |
|
||
|
叶片宽度b |
cm |
|
||
|
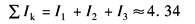
总惯性矩∑Ik |
cm4 |
|
||
|
板弹簧由三组不同的叶片组成 |
第一组 |
叶片数目n1 |
|
1 |
|
叶片厚度h1 |
cm |
0.9 |
||
|
第二组 |
叶片数目n2 |
|
5 |
|
|
叶片厚度h2 |
cm |
0.8 |
||
|
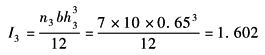
第三组 |
叶片数目n3 |
|
7 |
|
|
叶片厚度h3 |
cm |
0.65 |
||
|
各叶片的惯性矩 |
第一组 |
I1 |
cm4 |
|
|
第二组 |
I2 |
cm4 |
|
|
|
第三组 |
I3 |
cm4 |
|
|
|
总惯性矩 |
∑Ik |
cm4 |
|
|






