|
各叶片长度的计算 |
|||||||||||||
|
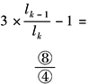
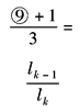
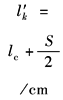
假定弹簧为等强度梁来确定各叶片长度的方法应用十分普遍。不过,只有当弹簧各叶片的厚度相同,片端做成三角形以及没有与主片长度相同的其他叶片的条件下,采用这种方法才能获得满意的结果。实际上,在设计与制造中,这些条件是难于同时实现的,因此,基于上述假设所设计的叶片厚度不同的弹簧就不是等强度梁 为了克服这个缺点以提高弹簧的使用寿命,本节所推荐的各叶片长度计算法是以所谓集中载荷的假定为依据的。这一假定的实质就是认为当弹簧工作时,载荷仅由各叶片的末端来传递,而叶片的其余各点并不互相接触,即其变形是自由的 为了使整个运算过程易于掌握并节约计算时间,现将全部计算公式列成表格形式(表1) 计算时先填好第①~⑤纵行,然后从最下一横排开始按箭头所示依次计算,待第�灛伂嬜菪星暗母餍屑扑阃瓯虾�,即可从第1片起依次计算出各叶片的长度 |
|||||||||||||
|
表1 叶片长度的计算公式 |
|||||||||||||
|
片 号 k |
片厚 h/cm |
Ik /cm4 |
|
|
|
|
|
|
|
|
|
|
实 际 长 度 之 半 Lk /cm |
|
① |
② |
③ |
④ |
⑤ |
⑥ |
⑦ |
⑧ |
⑨ |
⑩ |
|
|
|
|
|
1 |
0.9 |
0.729 |
|
|
|
49.6 |
55 |
55 |
|||||
|
2 |
0.9 |
0.729 |
0.5 |
2 |
39.1 |
44.5 |
55 |
||||||
|
3 |
0.9 |
0.729 |
0.5 |
2 |
28.3 |
33.7 |
48 |
||||||
|
4 |
0.9 |
0.729 |
0.5 |
2 |
17.0 |
22.4 |
41 |
||||||
|
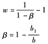
注:1.如片端经压延时,第⑤项方括号内数值要计入(此外方括号内数值没计入)。 2. S=10.8cm(U形螺栓中心距离); w—叶片末端形状系数,见表2。 |
|||||||||||||
|
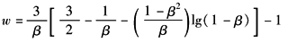
表2 叶片末端形状系数w |
|
|
型 式 |
公 式 及 数 据 |
|
|
|
|
|
|
|
|
|
















