|
装配后的板弹簧总成弧高的计算 |
||||||||||||||
|
叶片在自由状态的曲率半径是根据预应力确定的,由于选择预应力的关系,装配后板弹簧总成弧高不一定和表板弹簧在自由状态下弧高及曲率半径的计算所述公式的结果一致,因此,还需要按下表再计算一次装配后总成弧高。如两者接近便认为合适,否则要调整各片预应力,重新进行计算 |
||||||||||||||
|
片 号 |
Ik |
∑Ik |
lk |
|
|
Rk |
|
|
|
|
|
|
|
|
|
/cm4 |
/cm4 |
/cm |
/cm2 |
/cm3 |
/cm |
/cm |
/cm |
/cm |
|
/cm |
|
/cm |
/cm |
|
|
|
① |
② |
③ |
④ |
⑤ |
⑥ |
⑦ |
⑧ |
⑨ |
⑩ |
|
|
|
|
|
1 |
0.729 |
0.729 |
55 |
3025 |
166375 |
125 |
12.1 |
|
||||||
|
2 |
0.729 |
1.458 |
55 |
3025 |
166375 |
115 |
13.15 |
|||||||
|
3 |
0.729 |
2.187 |
48 |
2304 |
110592 |
110 |
10.47 |
9.60 |
0.87 |
0.33 |
0.287 |
1.22 |
12.975 |
116.5 |
|
4 |
0.729 |
2.916 |
41 |
1681 |
68921 |
100 |
8.41 |
7.21 |
1.20 |
0.25 |
0.30 |
1.51 |
13.425 |
112 |
|
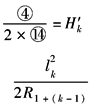
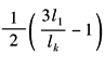
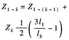
注:Hk——第k片叶片在自由状态下的弧高,cm; H'k——第k片叶片在贴合到上一叶片后的弧高,cm; Zk——当第k片叶片贴合于上一叶片后,使上一叶片的弧高增大的数值,cm; Z1-k——当第k片叶片贴合后弹簧的弧高(即装配后板弹簧的弧高),cm; R1-k——第k片叶片贴合于上一叶片后的曲率半径,包括叶片本身的厚度,cm; 表中其他符号同前。 |
||||||||||||||









