|
板弹簧在自由状态下弧高及曲率半径的计算 |
|
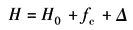
板弹簧总成在自由状态下的弧高H决定于板弹簧的静挠度fc、板弹簧在静载荷下的弧高H0以及在预压缩时残余变形量Δ,故
式中 H0——在现代的汽车板弹簧中,该值一般为1~2cm; Δ——一般取Δ=(0.05~0.06)fc(手工制造的板弹簧Δ=0.07fc);
h——板弹簧最厚片(一般为主片)的厚度,cm; A——材料系数,对于铬钢与硅钢A=800 板弹簧在自由状态下的曲率半径:
式中 L——板弹簧的伸直长度,cm |
|
板弹簧在自由状态下弧高及曲率半径的计算 |
|
板弹簧总成在自由状态下的弧高H决定于板弹簧的静挠度fc、板弹簧在静载荷下的弧高H0以及在预压缩时残余变形量Δ,故
式中 H0——在现代的汽车板弹簧中,该值一般为1~2cm; Δ——一般取Δ=(0.05~0.06)fc(手工制造的板弹簧Δ=0.07fc);
h——板弹簧最厚片(一般为主片)的厚度,cm; A——材料系数,对于铬钢与硅钢A=800 板弹簧在自由状态下的曲率半径:
式中 L——板弹簧的伸直长度,cm |