|
片弹簧计算实例 |
||||
|
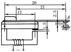
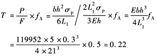
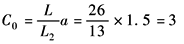
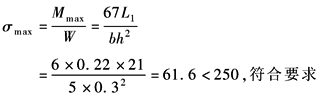
已知条件: L=26mm,L1=21mm,L2=13mm,a=1.5mm,c=2.5mm,b=5mm,h=0.3mm 材料为QSn4-3,其E=119952MPa,σp=250MPa |
继电器 |
|||
|
试计算触点的压力并验算片弹簧应力 |
||||
|
项 目 |
单位 |
公 式 及 数 据 |
||
|
计 算 项 目 |
触头自由位移C0 |
mm |
|
|
|
片簧A点的挠度fA |
mm |
|
||
|
触头压力T |
N |
查表片弹簧计算公式得P及F
|
||
|
最大应力σmax |
MPa |
|
||



