|
片弹簧计算公式 |
||||
|
下表是矩形截面片弹簧的计算公式,对圆形截面也可适用,但要改变截面断面系数W和截面惯性矩J(其值见表注) |
||||
|
矩形截面片弹簧计算公式 |
||||
|
弹簧名称 |
工作载荷P/N |
工作变形F/mm |
片簧宽度b/mm |
片簧厚度h/mm |
|
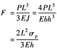
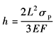
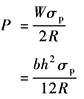
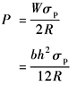
悬臂片弹簧
|
|
|
|
|
|
悬臂三角形片弹簧
|
|
|
|
|
|
悬臂叠加片弹簧
|
式中 n——簧片数 |
|
|
|
|
成形片弹簧
|
|
|
|
|
|
|
|
垂直方向变形
水平方向变形
|
|
|
|
|
|
水平方向变形
|
|
|
|
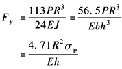
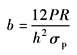
半圆形片弹簧
|
|
垂直方向变形
|
|
|
|
半圆形片弹簧
|
|
水平方向变形
|
|
|
|
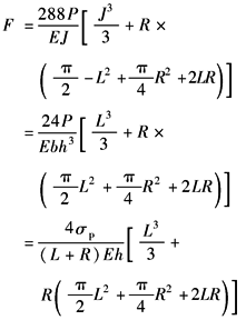
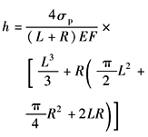
成形片弹簧
|
|
垂直方向变形
|
|
|
|
成形片弹簧
|
|
受力后两端靠近的距离
|
|
|
|
成形片弹簧
|
|
受力后两端靠近的距离
|
|
|
|
|
||||
























































