|
环形弹簧计算示例 |
|||
|
项目 |
单位 |
公式及数据 |
|
|
原 始 条 件 |
最大轴向工作载荷P |
N |
P=275000 |
|
弹簧外环外径D1 |
mm |
D1≤220 |
|
|
轴向变形量F |
mm |
F=50 |
|
|
圆锥面斜角β |
(°) |
β=14 |
|
|
摩擦角ρ |
(°) |
ρ=7(摩擦因数μ=0.12) |
|
|
材料 |
|
60Si2MnA |
|
|
参 数 计 算 |
内外环高度h |
mm |
h=0.18D1=0.18×220≈40 |
|
内外环最小厚度bmin |
mm |
b2min=0.25h=0.25×40=10 |
|
|
b1min=1.3b2min=1.30×10=13 |
|||
|
无载时内外环的轴向间隙δ0 |
mm |
δ0=0.25h=0.25×40=10 |
|
|
内外环最大厚度bmax |
mm |
|
|
|
|
|||
|
内外环截面积A |
mm2 |
|
|
|
|
|||
|
内环内径d2 |
mm |
|
|
|
系数KC、KD |
|
|
|
|
|
|||
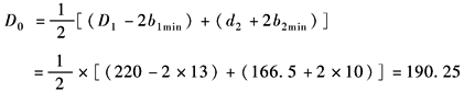
|
圆锥接触面平均直径D0 |
mm |
|
|
|
内外环截面中心直径Dm |
mm |
|
|
|
|
|||
|
加载时内外环的应力σ |
MPa |
|
|
|
|
|||
|
加载时内外环的径向变形量γ |
mm |
|
|
|
|
|||
|
加载时一对内外环的轴向变形量f |
mm |
|
|
|
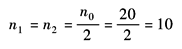
内外环对数n0 |
个 |
|
|
|
内外环个数n |
个 |
两端的两个半环作为一个环计算 |
|
|
加载后内外环间的轴向间隙δ |
mm |
|
|
|
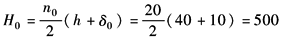
环簧自由高度H0 |
mm |
|
|
|
加载后环簧高度H |
mm |
|
|
|
环簧的工作极限变形量Fj |
mm |
|
|
|
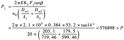
环簧的工作极限载荷Pj |
N |
|
|
|
环簧弹性变形开始恢复时的轴向载荷PR |
N |
|
|
|
加载时外环接触面的最大应力σ1max |
MPa |
|
|



