|
环形弹簧计算公式 |
|||
|
|
|||
|
项目 |
单位 |
公式及数据 |
|
|
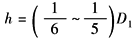
内外环高度h |
mm |
|
|
|
内外环最小厚度bmin |
mm |
|
|
|
|
|||
|
无载时内外环的轴向间隙δ0 |
mm |
|
|
|
内外环最大厚度bmax |
mm |
|
|
|
|
|||
|
内外环截面积A |
mm2 |
|
|
|
|
|||
|
内环内径d2 |
mm |
|
|
|
系数KC、KD |
|
|
|
|
圆锥接触面平均直径D0 |
mm |
|
|
|
内外环截面中心直径Dm |
mm |
|
|
|
|
|||
|
加载时外环的拉应力σ1 内环的压应力σ2 |
N/mm2 |
|
|
|
|
|||
|
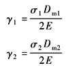
加载时外环的径向变形量γ1 内环的径向变形量γ2 |
mm |
|
|
|
加载时一对内外环的轴向变形量f |
mm |
|
|
|
内外环对数n0 |
对 |
|
|
|
内外环个数n |
个 |
|
|
|
加载后内外环间的轴向间隙δ |
mm |
|
|
|
环簧自由高度H0 |
mm |
|
|
|
加载后环簧高度H |
mm |
|
|
|
环簧的工作极限变形量Fj |
mm |
|
|
|
环簧的工作极限载荷Pj |
N |
|
|
|
环簧弹性变形开始恢复时的轴向载荷PR |
N |
|
|
|
加载时外环接触面的最大应力σ1max |
MPa |
式中 μ ——泊松比,μ=0.3 |
|






