|
缸径、壁厚、活塞杆直径与负载、弯曲强度和挠度的计算 |
|||||||||||||||||||||||||
|
缸
径 |
计 算 步 骤 与 计 算 公 式 |
根据气缸所带的负载、运动状况及工作压力,气缸计算步骤如下 (1)根据气缸的负载,计算气缸的轴向负载力F,常见的负载实例见下图
(2)根据气缸的平均速度来选气缸的负载率β。气缸的运动速度越高,负载率应选得越小 (3)假如系统的工作压力为0.6MPa,气缸的工作压力计算应选为0.4MPa。当系统的工作压力低于0.6MPa时,气缸的工作压力也应该调低 (4)由气缸的理论输出力计算公式(见下表)、负载率β、工作压力p即能计算缸径,然后再圆整到标准缸径
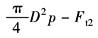
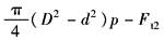
气缸的理论输出力F0计算公式 |
|||||||||||||||||||||||
|
形式 |
双作用气缸 |
单作用气缸 |
|||||||||||||||||||||||
|
预缩型 |
预伸型 |
||||||||||||||||||||||||
|
推力 |
|
|
Ft1 |
||||||||||||||||||||||
|
拉力 |
|
Ft1 |
|
||||||||||||||||||||||
|
活塞杆直径取d=0.3D |
|||||||||||||||||||||||||
|
例
题 |
例 气缸推动工件在导轨上运动,如上图所示。已知工件等运动件质量m=250kg,工件与导轨间的摩擦因数μ=0.25,气缸行程300mm,动作时间t=1s,工作压力p=0.4MPa,试选定缸径 解:气缸的轴向负载力 F=μmg=0.25×250×9.8=612.5N
理论输出力
由上表可得双作用气缸缸径
故选取双作用气缸缸径为63mm |
||||||||||||||||||||||||
|
壁 厚 |
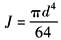
气缸缸筒承受压缩空气的压力,其壁厚可按薄壁筒公式计算
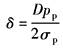
式中 δ——缸筒壁厚,m pp——试验耐压力,Pa,取pp=1.5pmax σp——缸筒材料许用应力,Pa,其计算公式为
σb——缸筒材料抗拉强度,Pa n——安全系数,一般取n=6~8 按公式计算出的壁厚通常都很薄,加工比较困难,实际设计过程中一般都需按照加工工艺要求,适当增加壁厚,尽量选用标准钢管或铝合金管 缸筒材料常用20钢无缝钢管、铝合金2Al2、铸铁HT150和HT200等 国外缸径8~25mm的小型气缸缸筒与缸盖的连接为不可拆的滚压结构,缸筒材料选用不锈钢,壁厚为0.5~0.8mm 下表列出了铝合金管和无缝钢管生产厂供应的管壁厚和气缸采用的壁厚 |
||||||||||||||||||||||||
|
壁 厚 /mm |
材料 |
缸径 |
20 |
25 |
32 |
40 |
50 |
63 |
80 |
100 |
125 |
160 |
200 |
250 |
320 |
||||||||||
|
铝合金 2Al2 |
壁厚 |
2.5 |
2.5~3 |
3.5~4 |
4.5~5 |
||||||||||||||||||||
|
20钢无 缝钢管 |
2.5 |
3 |
3.5 |
4.5~5 |
5.5~6 |
||||||||||||||||||||
|
活 塞 杆 稳 定 性 及 挠 度 验 算 |
压杆稳定性验算 |
计 算 公 式 |
气缸的活塞行程越长,则活塞杆伸出的距离也越长,对于长行程的气缸,活塞杆的长度将受到限制。若在活塞杆上承受的轴向推力负载达到极限力之后,活塞杆就会出现压杆不稳定现象,发生弯曲变形。因此,必须进行活塞杆的稳定性验算,其稳定条件为
式中 F——活塞杆承受的最大轴向压力,N; Fk——纵向弯曲极限力,N; nk——稳定性安全因数,一般取1.5~4 极限力Fk不仅与活塞杆材料、直径、安装长度有关,还与气缸的安装支承条件决定的末端因素m(见下表)有关 安装长度L和末端因数m |
||||||||||||||||||||||
|
安装方式 |
简 图 |
||||||||||||||||||||||||
|
铰支-铰支 m=1 |
|
|
|
||||||||||||||||||||||
|
固定-自由 m=1/4 |
|
|
|
||||||||||||||||||||||
|
固定-铰支 m=2 |
|
|
|
||||||||||||||||||||||
|
固定-固定 m=4 |
|
|
|
||||||||||||||||||||||
|
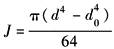
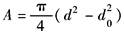
式中 m——末端因数 E——材料弹性模量,钢材E=2.1×1011Pa J——活塞杆横截面惯性矩,m4 L——气缸的安装长度,m 空心圆杆
实心圆杆
式中 d——活塞杆直径,m d0——空心活塞杆内径,m
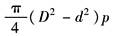
式中 f——材料抗压强度,钢材f=4.8×108Pa A——活塞杆横截面积,m2 空心圆杆
空心圆杆
|
|||||||||||||||||||||||||
|
对于制造厂来说,按照上式可计算出气缸系列(缸径、活塞杆直径已确定)在最差的安装条件下,最大理论输出力时的最大安全行程(不是安装长度)。用户可按实际使用条件验算气缸活塞杆的稳定性。若计算出的极限力Fk不能满足稳定性条件要求,则需更改气缸参数重新选型,或者与制造厂协商解决。也就是说,选用长行程气缸需考虑活塞杆的弯曲稳定性,活塞杆所带负载应小于弯曲失稳时的临界压缩力(取决于活塞杆直径和行程) 注:对于气缸的支承长度L为两倍行程,其安装型式见上表(m=1),安全因数Nk将取5 用图表法查活塞杆直径与行程、最大径向负载及弯曲挠度,是一种简单的图示法,见右图。它是活塞杆直径、行程、径向负载和挠度的关系图 |
|
||||||||||||||||||||||||
|
|
|||||||||||||||||||||||||
|
例
题 |
例1 一个气缸,其活塞杆直径为f 25mm,行程为500mm (a)它的最大径向负载及挠度为多少? (b)如果要满足5000N的径向负载,它的活塞杆直径为多少? 解:(a)通过活塞杆直径为f 25mm这一点,穿过行程为500mm,画一条延长直线。分别与弯曲挠度与许用负载两个坐标轴相交,可得出其弯曲挠度为7mm,最大的许用负载为640N,因此无法满足要求 (b)通过许用负载5000N这一点,穿过行程为500mm,画一条延长直线。分别与活塞杆直径和弯曲挠度两个坐标轴相交,可得出其弯曲挠度为2.8mm,活塞杆直径为f 50mm 注:图示法表明的是理论上活塞杆直径与行程长度、最大径向负载及弯曲挠度的计算结果。当(a)的计算结果为活塞杆全部伸出时,弯曲挠度为7mm(视工作实际状况能否接受)。通常公司产品样本中规定的径向力对活塞杆直径与行程、最大径向负载及弯曲挠度的计算、活塞杆稳定性计算,如下图所示
例2 已知某普通气缸的缸径为50mm,活塞杆直径20mm,行程500mm,求活塞杆所能承受的最大轴向力 解:确定行程s=500mm与活塞杆d=20mm处直线的交点,至作用力F的垂线,从而可确定该气缸所能承受的最大轴向力F=3000N 例3 已知气缸轴向负载F=800N,行程500mm,缸径50mm,求活塞杆直径 解:确定作用力F=800N的垂线与s=500mm处直线的交点。从图中所得最小的活塞杆直径为16mm |
||||||||||||||||||||||||
|
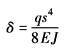
挠度(因头部自重下垂产生的)验算 |
|
活塞杆水平伸出时为悬臂梁,如左图所示,其头部因自重下垂产生的挠度用下式计算
式中 δ——挠度,cm s——活塞杆伸出长度,cm E——材料横向弹性模量,Pa J——活塞杆横截面惯性矩,cm4 |
|||||||||||||||||||||||
|
式中 q——活塞杆1cm长的当量质量,kg |
|||||||||||||||||||||||||





















