|
普通气缸性能分析 |
||||||||||||||||||||||||||
|
理论 输出 力 |
公式 |
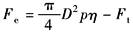
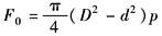
普通双作用气缸的理论推力F0为
式中 D——缸径,m p——气缸的工作压力,Pa 其理论拉力F0为
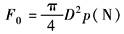
式中 d——活塞杆直径,m,估算时可令d=0.3D 下图计算曲线列出了气缸在不同压力下的理论推力。计算参数表所示为普通双作用气缸的理论输出力 普通单作用气缸(预缩型)理论推力为
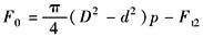
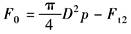
其理论拉力为 F0=Ft1 普通单作用气缸(预伸型)理论推力为 F0=Ft1 其理论拉力为
式中 D——缸径,m; d——活塞杆直径,m; p——工作压力,Pa; Ft1——单作用气缸复位弹簧的预紧力,N; Ft2——复位弹簧的预压量加行程所产生的弹簧力,N |
||||||||||||||||||||||||
|
理论 输出 力 |
计算 曲线 |
气缸的理论推力 |
||||||||||||||||||||||||
|
计算 参数 |
压力/10-1MPa |
1 |
2 |
3 |
4 |
5 |
6 |
7 |
8 |
9 |
10 |
|||||||||||||||
|
缸径/mm |
气缸理论输出力/N |
|||||||||||||||||||||||||
|
8 |
5.0 |
10.0 |
15.0 |
20.0 |
25.1 |
30.1 |
35.1 |
40.1 |
45.2 |
50.2 |
||||||||||||||||
|
10 |
7.8 |
15.7 |
23.5 |
31.4 |
39.2 |
47.1 |
54.9 |
62.8 |
70.6 |
78.5 |
||||||||||||||||
|
12 |
11.3 |
22.6 |
33.9 |
45.2 |
56.5 |
67.8 |
79.1 |
90.4 |
102 |
113 |
||||||||||||||||
|
16 |
20.0 |
40.1 |
60.2 |
80.3 |
100 |
121 |
141 |
161 |
181 |
200 |
||||||||||||||||
|
20 |
31.4 |
62.8 |
94.2 |
126 |
156 |
188 |
219 |
251 |
283 |
314 |
||||||||||||||||
|
25 |
49 |
98.1 |
147 |
196 |
245 |
294 |
343 |
393 |
442 |
490 |
||||||||||||||||
|
32 |
80 |
160 |
241 |
322 |
402 |
482 |
562 |
643 |
723 |
803 |
||||||||||||||||
|
40 |
125 |
251 |
376 |
502 |
628 |
753 |
879 |
1000 |
1130 |
1260 |
||||||||||||||||
|
50 |
196 |
392 |
588 |
785 |
981 |
1180 |
1370 |
1570 |
1770 |
1960 |
||||||||||||||||
|
63 |
311 |
623 |
934 |
1246 |
1560 |
1870 |
2180 |
2490 |
2800 |
3120 |
||||||||||||||||
|
80 |
502 |
1000 |
1510 |
2010 |
2510 |
3010 |
3520 |
4020 |
4520 |
5020 |
||||||||||||||||
|
100 |
785 |
1570 |
2350 |
3140 |
3920 |
4710 |
5490 |
6280 |
7060 |
7850 |
||||||||||||||||
|
125 |
1230 |
2450 |
3680 |
4910 |
6130 |
7360 |
8590 |
9810 |
11000 |
12300 |
||||||||||||||||
|
160 |
2010 |
4020 |
6030 |
8040 |
10100 |
12100 |
14100 |
16100 |
18100 |
20100 |
||||||||||||||||
|
200 |
3140 |
6280 |
9240 |
12600 |
15600 |
18800 |
22000 |
25100 |
28300 |
31400 |
||||||||||||||||
|
250 |
4910 |
9800 |
14700 |
19600 |
24500 |
29400 |
34300 |
39300 |
44200 |
49100 |
||||||||||||||||
|
320 |
8040 |
16100 |
24100 |
32200 |
40200 |
48200 |
56300 |
64300 |
72300 |
80400 |
||||||||||||||||
|
实际 输出 力 |
计算 公式 |
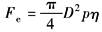
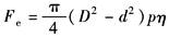
普通双作用气缸的实际输出推力Fe为
实际输出拉力Fe为
普通单作用气缸的实际输出推力Fe为
|
||||||||||||||||||||||||
|
实际 输出 力 |
效率 曲线 |
|
气缸未加载时实际所能输出的力,受到气缸活塞和活塞杆本身的摩擦力影响,如活塞和缸筒之间的摩擦、活塞杆和前缸盖之间的摩擦,用气缸效率η表示,如图a气缸效率曲线所示,气缸的效率η与气缸的缸径D和工作压力p有关,缸径增大,工作压力提高,则气缸效率η增加。在气缸缸径增大时,在同样的加工条件、气缸结构条件下,摩擦力在气缸的理论输出力中所占的比例明显地减小了,即效率提高了。一般气缸的效率在0.7~0.95之间 |
|||||||||||||||||||||||
|
负载 率β |
定义 |
从对气缸特性研究知道,要精确确定气缸的实际输出力是困难的。于是,在研究气缸的性能和选择确定气缸缸径时,常用到负载率β的概念。气缸负载率β的定义是
|
||||||||||||||||||||||||
|
负载 率的 选取 |
气缸的实际负载是由工况所决定的,若确定了气缸负载率β,则由定义就能确定气缸的理论输出力F0,从而可以计算气缸的缸径。气缸负载率β的选取与气缸的负载性能及气缸的运动速度有关(见下表)。对于阻性负载,如气缸用作气动夹具,负载不产生惯性力的静负载,一般负载率β选取为0.7~0.8 气缸的运动状态和负载率 |
|||||||||||||||||||||||||
|
阻性负载 (静负载) |
惯性负载的运动速度υ |
|||||||||||||||||||||||||
|
<100mm/s |
100~500mm/s |
>500mm/s |
||||||||||||||||||||||||
|
β≤0.8 |
β≤0.65 |
≤0.5 |
≤0.35 |
|||||||||||||||||||||||
|
气缸 瞬态 特性 |
|
电磁换向阀换向,气源经A口向气缸无杆腔充气,压力p1上升。有杆腔内气体经B口通过换向阀的排气口排气,压力p2下降。当活塞的无杆侧与有杆侧的压力差达到气缸的最低动作压力以上时,活塞开始移动。活塞一旦启动,活塞等处的摩擦力即从静摩擦力突降至动摩擦力,活塞稍有抖动。活塞启动后,无杆腔为容积增大的充气状态,有杆腔为容积减小的排气状态。由于外负载大小和充排气回路的阻抗大小等因素的不同,活塞两侧压力p1和p2的变化规律也不同,因而导致活塞的运动速度及气缸的有效输出力的变化规律也不同。 |
||||||||||||||||||||||||
|
|
图c是气缸的瞬态特性曲线示意图。从电磁阀通电开始到活塞刚开始运动的时间称为延迟时间。从电磁阀通电开始到活塞到达行程末端的时间称为到达时间 从图c可以看出,在活塞的整个运动过程中,活塞两侧腔室内的压力p1和p2以及活塞的运动速度u都在变化。这是因为有杆腔虽排气,但容积在减小,故p2下降趋势变缓。若排气不畅,p2还可能上升。无杆腔虽充气,但容积在增大,若供气不足或活塞运动速度过快,p1也可能下降。由于活塞两侧腔内的压差力在变化,又影响到有效输出力及活塞运动速度的变化。假如外负载力及摩擦力也不稳定的话,则气缸两腔的压力和活塞运动速度的变化更复杂 |
|||||||||||||||||||||||||
|
从气缸的瞬态特性可见,当气动系统的工作压力为0.6MPa时,对气缸的选型计算应采用0.4MPa;对于速度大于500mm/s,气缸的工作压力还要更低(类似于负载率β中运动速度与阻性负载的关系) |
||||||||||||||||||||||||||
|
活塞 运动 速度 特性 |
理论基准速度 |
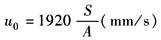
气缸在没有外负载力,并假定气缸排气侧以声速排气,且气源压力不太低的情况下,求出的气缸速度u0称为理论基准速度
式中 S——排气回路的合成有效截面积,mm2 A——排气侧活塞的有效面积,cm2 理论基准速度u0与无负载时气缸的最大速度非常接近,故令无负载时气缸的最大速度等于u0。随着负载的加大,气缸的最大速度将减小 |
||||||||||||||||||||||||
|
平均速度 |
气缸的平均速度是气缸的运动行程L除以气缸的动作时间(通常按到达时间计算)t。通常所指气缸使用速度都是指平均速度 |
|||||||||||||||||||||||||
|
标准气缸的使用速度 |
标准气缸的使用速度范围大多是50~500mm/s。当速度小于50mm/s时,由于气缸摩擦阻力的影响增大,加上气体的可压缩性,不能保证活塞作平稳移动,会出现时走时停的现象,称为“爬行”。当速度高于1000mm/s时,气缸密封圈的摩擦生热加剧,加速密封件磨损,造成漏气,寿命缩短,还会加大行程末端的冲击力,影响机械寿命。要想气缸在很低速度下工作,可采用低速气缸。缸径越小,低速性能越难保证,这是因为摩擦阻力相对气压推力影响较大的缘故,通常f 32mm气缸可在低速5mm/s无爬行运行。如需更低的速度或在外力变载的情况下,要求气缸平稳运动,则可使用气液阻尼缸,或通过气液转换器,利用液压缸进行低速控制。要想气缸在更高速度下工作,需加长缸筒长度、提高气缸筒的加工精度,改善密封圈材质以减小摩擦阻力,改善缓冲性能等,同时要注意气缸在高速运动终点时,确保缓冲来减小冲击 |
|||||||||||||||||||||||||
|
气缸 工作 压力 、耐 压及 泄漏 |
工作 压力 |
气缸使用压力范围是指最低工作压力至最高工作压力的范围 最低工作压力是指保证气缸正常工作的最低供给压力。正常工作是指气缸能平稳运动且泄漏量在允许指标范围内,双作用气缸的最低工作压力一般为0.05~0.1MPa,单作用气缸的最低工作压力一般为0.15~0.25MPa,在确定气压最低工作压力时,应考虑换向阀的最低工作压力特性,一般换向阀的工作压力范围为0.05~0.8MPa,或0.25~1.0MPa(也有硬配阀为0~1.0MPa) 最高工作压力是指气缸长时间在此压力作用下能正常工作而不损坏的压力 |
||||||||||||||||||||||||
|
泄漏 测试 |
供气压力不大于150kPa条件下的功能测试 |
试验时,气缸如有缓冲调节装置应完全打开,并将气缸水平放置,进行全行程的往复动作,活塞杆应平稳伸缩运行,并无爬行和振颤现象 |
||||||||||||||||||||||||
|
150kPa和630kPa供气压力下的泄漏测试 |
将气缸循环动作几次后,从无杆腔气口分别先后通入150kPa和630kPa的气体,使有杆腔气口与大气相通。采用能满足检测要求的测试方法和设备,记录气缸无杆腔的全部泄漏量。该泄漏量为以下部位的总泄漏量 a)有杆腔气口; b)后端盖和气缸缸筒连接处; c)无杆腔缓冲调节装置和单向阀的周围; d)后端盖上的孔隙; e)其他外部连接 当气缸循环动作几次后,从有杆腔气口分别先后通入150kPa和630kPa的气体,无杆腔气口与大气相通。采用能满足检测要求的测试方法和设备,测量气缸有杆腔的全部泄漏量。该泄漏量为以下场所的总泄漏量 a)无杆腔气口; b)前端盖和气缸缸筒连接处; c)有杆腔缓冲调节装置和单向阀周围; d)前端盖上的孔隙; e)任何其余外部连接; f)活塞杆突出部位的密封圈周围; g)前端盖和支承之间的连接处 泄漏量应不超过下表给出的规定值 |
|||||||||||||||||||||||||
|
泄漏 测试 |
气缸直径/mm |
8,10,12 |
16,20,25 |
32,40,50 |
63,80,100 |
125,160,200 |
250,320 |
|||||||||||||||||||
|
泄漏量(ANR*)/dm3·h-1 |
0.6 |
0.8 |
1.2 |
2 |
3 |
5 |
||||||||||||||||||||
|
*见ISO8778 注:若用户对泄漏量有特定的限制,用户应同制造商协商相应的泄漏量和测试方法 |
||||||||||||||||||||||||||
|
630kPa 供气 压力 下的 缓冲 测试 |
在630kPa供气压力下使气缸往复工作,调节缓冲节流装置,使活塞在任何方向上到达行程终点前都应该得到有效减速,与端盖没有明显的撞击现象(仅适用于缓冲气缸) |
|||||||||||||||||||||||||
|
耐压 性能 试验 |
气缸通入1.5倍公称压力的气体,保压1min,各部件不得有松动、永久性变形及其他异常现象 气缸做出厂检验和产品交付验收时,用户和制造商协商决定是否进行耐压试验;属于以下情况者必须进行耐压试验 a)新产品研制; b)设计和工艺的改进或材质变更,可能使其耐压性能受影响时; c)产品质量仲裁; d)监督抽查等执法检查时 |
|||||||||||||||||||||||||
|
温度 |
环 境 温 度 |
介 质 温 度 |
||||||||||||||||||||||||
|
环境温度是指气缸所处工作场所的温度 通常,气动制造厂商根据不同类型的气缸将提供不同的环境温度参数。如:对于普通气缸的环境温度为0~+60℃或-20~+80℃。而对于带现场总线接口的带阀气缸仅限于-5~+50℃。对于大于或小于环境温度的气缸,应注意气缸磁性开关所处环境是否在允许值之下。缸内密封件材料在高温下会软化、低温下会硬化脆裂,都会影响密封性能 |
介质温度是指流入气缸内的气体温度 对于高于+80℃或低于-20℃的气缸,称为耐高温气缸成耐超低温气缸。目前气动制造厂商制造的高温气缸可耐150℃,耐超低温气缸可达-55℃。同样,介质温度也会影响气缸正常工作。虽然气源经冷冻式干燥器清除了大部分水分,但空气中还会有残留的少量水蒸气冷凝成水,如温度太低时,以致结冰,将破坏气缸密封件 |
|||||||||||||||||||||||||
|
耐久 性 |
定义 |
气缸耐久性是指气缸正常工作的寿命。对于普通气缸耐久性是以它运行行程的累积,是以公里数为技术指标。对于紧凑性气缸(指短行程气缸或夹紧功能的短行程气缸)耐久性是以它运行的频率次数的累积 |
||||||||||||||||||||||||
|
耐久性技 术参数 |
通常,气动制造厂商在其产品样本中不提供耐久性技术参数,如提供其寿命的话,往往根据其实验室的测试报告,换而言之,该测试条件是苛刻的,比如:对于压缩空气要求其压力露点为-40℃的干燥空气,过滤精度小于40μm,进口空气约1000升应有3~5滴润滑油,测试空气介质温度在23±5℃,压力在0.6±0.03MPa,负载为某一值(如直径f 16mm不锈钢材质的缸筒、行程为100mm的圆形缓冲气缸在水平测试时的负载0.05kg),频率为0.5Hz,运行速度为1m/s时,测得它的耐久性为5000km(或2000万次循环)。由于各气动厂商测试条件不同,与用户实际使用有较大差别,实际运行的耐久性与它的工作状况(负载、受力状况、是否柔性连接)、活塞速度、压缩空气的过滤等级、润滑状况等许多因素有关 |
|||||||||||||||||||||||||
|
最高耐久性 |
目前,根据国际上先进国家气动制造厂商实验室的检测报告资料查得:普通气缸的最高耐久性指标在2000~10000km之间,短行程紧凑气缸的最高耐久性指标在1000~3000万次循环之间(注意:由于测试条件、状况、负载等因素,气缸的耐久性指标是气动制造厂商实验室的检测报告资料数据乘0.5~0.6的系数) |
|||||||||||||||||||||||||
|
气缸 派生 特性 |
气缸的派生是指气缸在连接界面尺寸不变的情况下,仅改变某个零件的材料(如改变某密封件的材料和润滑脂使其成为耐高温气缸、改变活塞杆材质或镀层使其成为防焊渣或耐腐蚀气缸),增加某些零部件(如在前端盖上添置一个锁紧装置成为活塞杆锁紧气缸) |
|||||||||||||||||||||||||




