|
管道直径的计算及图表法 |
|||||||
|
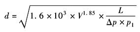
(1) 管道直径的计算 气源系统中的管道直径与其通过的流量、工作压力、管道长度和压力损失等因素有关
式中 d——管道内径,m; p1——工作压力,bar; Δp——压力损失,Pa,应该不超过0.1bar; L——管道的名义长度,m,经过综合计算修正后; V——流量,m3/s 例 在一个300m长的直管道,流量为21m3/min(0.350m3/s),工作压力为7bar(等于700000Pa)时,管道直径d应是多少?
(2) 利用JGuestGmbh表查管道直径 根据JGuestGmbh表(见下表),可以管道长度和流量求聚酰胺管道外径(单位mm)的近似值 |
|||||||
|
J Guest Gmbh表 |
|||||||
|
长度/mm 直径/mm 流量 /L·min-1 |
25 |
50 |
100 |
150 |
200 |
250 |
300 |
|
200 |
12 |
12 |
12 |
15 |
15 |
15 |
18 |
|
400 |
12 |
12 |
15 |
15 |
15 |
18 |
18 |
|
500 |
15 |
15 |
15 |
18 |
18 |
18 |
18 |
|
750 |
15 |
15 |
18 |
18 |
18 |
22 |
22 |
|
1000 |
15 |
15 |
18 |
18 |
22 |
22 |
22 |
|
1500 |
18 |
18 |
18 |
22 |
22 |
22 |
22 |
|
2000 |
18 |
18 |
22 |
22 |
22 |
28 |
28 |
|
3000 |
22 |
22 |
28 |
28 |
28 |
28 |
28 |
|
4000 |
28 |
28 |
28 |
28 |
28 |
28 |
28 |
|
注:对于环状的管道来说,它的流量将被分流,管道长度也将减为原来的一半。 例 在有效长度为300m的环状管路中,流量为2m3/min,工作压力为7bar时,管道直径d应是多少? 解:因为管道是环状管路,因此它的流量和管道长度均减半,分别为1000L/min及150m,按上表可查得管道直径为18mm (3) 利用管道直线列线图查管道直径 当已知管道长度(包括管接件的压力损失转换成管道长度)、流量、工作压力和管道的压力降,可用下图查找相应的管道直径d 如管长300m,流量1m3/h,工作压力8bar,压力损失Δp为0.1bar,按步骤①到⑧得到D轴上的交点,管道直径等于100mm
管道直线列线图 |
|||||||



